2024년 공무원 봉급표 완벽 분석
2025년을 이제 2달여 남짓 앞두고 있습니다. 그러함에도 불구하고 아직도 2024년 공무원 봉급표에 대한 궁금증이 여전합니다. 매년 공무원 봉급 인상은 공무원의 직무와 역할에 대한 사회적 인식 변화, 물가 상승률, 경제 상황 등을 반영하여 체계적으로 이루어졌습니다.


이번 포스팅에서는 일반직 공무원, 경찰공무원, 소방공무원, 공안직 공무원 등 다양한 직렬의 봉급 구조와 주요 변경 사항을 상세히 분석하고, 신입 공무원들에게 중요한 정보가 될 수 있는 2024년 공무원 봉급표를 소개하겠습니다.
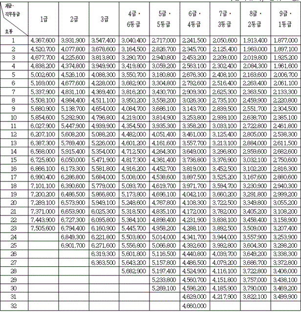
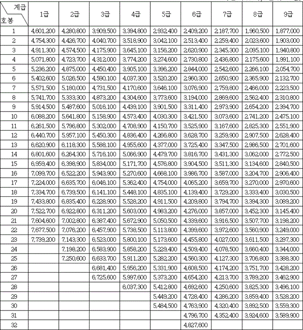
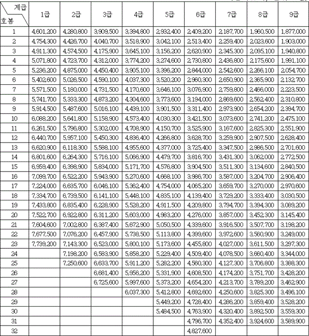
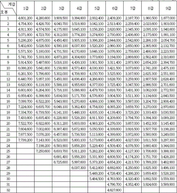
일반직 2024년 공무원 봉급표
2024년 공무원 월급과 직급보조비

2024년 일반직 공무원 월급은 기본급과 직급보조비로 구성됩니다. 예를 들어, 9급 1호봉의 기본급은 1,877,000원이며, 여기에 직급보조비 175,000원이 추가되어 총 9급 공무원 월급은 2,052,000원입니다. 이는 최저시급을 기준으로 한 월급 2,060,740원보다 약간 낮은 수준입니다. 그러나 호봉이 상승함에 따라 봉급도 점진적으로 인상되어, 9급 2호봉부터는 1,903,000원으로 인상됩니다.
호봉별 봉급 상승
일반직 공무원은 근속 연수에 따라 호봉이 올라가며, 이에 따라 봉급도 증가합니다. 1호봉에서 시작하여 최대 호봉에 이르기까지 체계적인 인상 구조가 마련되어 있어, 장기 근속 시 안정적인 소득 증가가 보장됩니다. 이는 공무원의 생활 안정과 직무 만족도를 높이는 중요한 요소로 작용합니다.
경찰공무원 봉급표

계급별 봉급 구조
경찰공무원의 봉급은 일반 공무원과는 다소 차별화된 구조를 가지고 있습니다. 경찰공무원의 계급은 순경, 경장, 경사, 경위, 경감, 경정, 총경, 경무관, 치안감, 치안정감, 치안총감(경찰청장)으로 구분됩니다. 특히, 경찰대학교를 졸업한 신입 경찰공무원은 경위 계급부터 시작하며, 2024년 경위 1호봉의 봉급은 매월 2,261,900원으로 약 2,700만 원의 연봉을 받게 됩니다.
특수 인센티브
경찰공무원은 기본 봉급 외에도 다양한 인센티브와 수당을 받을 수 있습니다. 이는 직무의 특성과 위험성을 반영한 것으로, 야간 근무, 특별 임무 수행 등에 따른 추가 보상이 포함됩니다. 이러한 인센티브는 경찰공무원의 직무 만족도와 동기 부여에 중요한 역할을 합니다.
소방공무원 봉급표


계급별 봉급 체계
소방공무원의 봉급 역시 경찰공무원과 유사하게 계급에 따라 차등 지급됩니다. 소방공무원의 계급은 소방사, 소방교, 소방장, 소방위, 소방경, 소방령, 소방정, 소방준감, 소방감, 소방정감, 소방청감으로 구성됩니다. 가장 낮은 소방사 및 순경 1호봉의 봉급은 매월 1,877,000원으로, 연봉 약 2,250만 원에 해당합니다. 호봉이 상승함에 따라 봉급도 점진적으로 인상됩니다.


추가 수당
소방공무원도 경찰공무원과 마찬가지로 다양한 수당을 받을 수 있습니다. 소방업무의 특성상 긴급 상황 대응, 야간 근무 등 특별한 근무 조건에 따른 수당이 추가로 지급됩니다. 이는 소방공무원의 업무 부담을 완화하고, 직무에 대한 보상을 강화하는 역할을 합니다.
공안직 공무원 봉급표

공안직의 역할과 봉급
공안직 공무원은 교정직, 보호직, 검찰직, 마약수사직, 출입국관리직, 철도경찰직 등 다양한 분야에서 활동하며, 사회의 안정과 법질서를 유지하는 중요한 역할을 담당합니다. 2024년 공안직 공무원의 봉급은 전반적으로 2.5% 인상되었으며, 특히 9급 공무원 초임 1호봉은 6% 인상되어 1,877,000원으로 조정되었습니다. 이는 물가 상승률과 경제 상황을 반영한 결과로, 공안직 공무원의 생활 안정과 직무 만족도를 높이기 위한 조치로 해석됩니다.



호봉별 봉급 상승
공안직 공무원도 일반 공무원과 마찬가지로 호봉이 올라감에 따라 봉급이 증가합니다. 9급 2호봉부터는 1,903,000원, 3호봉부터는 1,940,800원, 5호봉 이상에서는 월 봉급이 2,054,700원 이상으로 인상됩니다. 이는 공안직 공무원의 경력과 경험을 보상하는 중요한 요소입니다.
특수 직렬 공무원 봉급표

연구직 공무원 봉급표

연구직 공무원은 연구관과 연구사로 계급이 나뉘며, 호봉에 따라 봉급이 책정됩니다. 연구직 공무원은 전문성을 요구하는 직무를 수행하기 때문에, 봉급 구조도 해당 직렬의 특성에 맞게 설정되어 있습니다. 2024년에는 연구직 공무원의 봉급도 전반적으로 인상되어, 연구 활동에 대한 보상이 강화되었습니다.
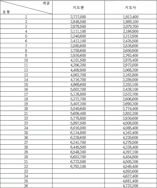
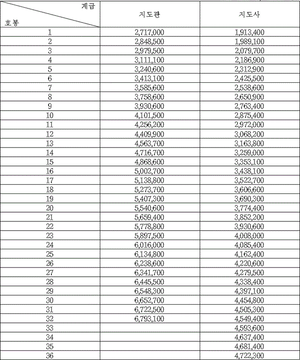
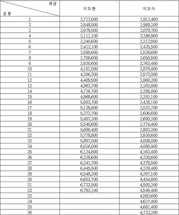
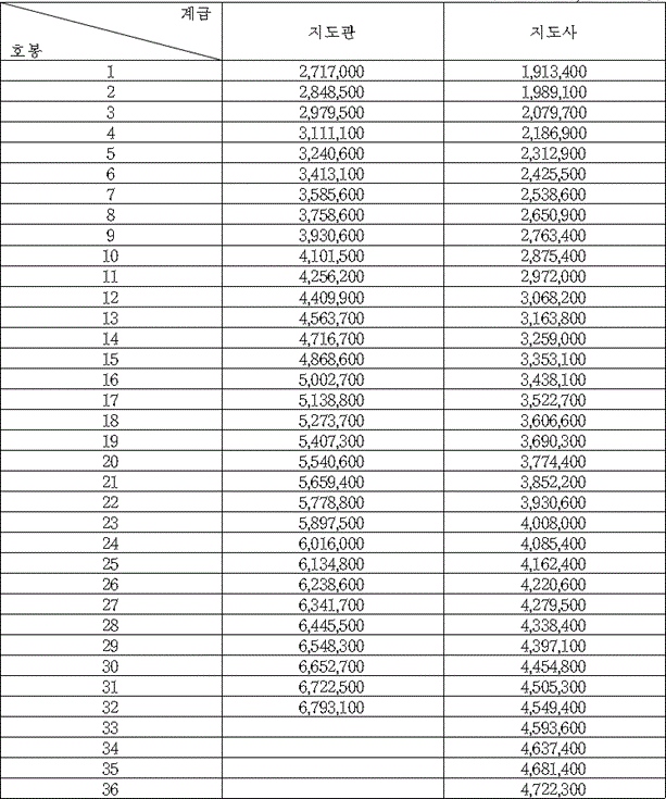
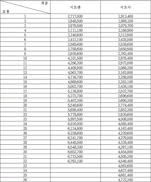
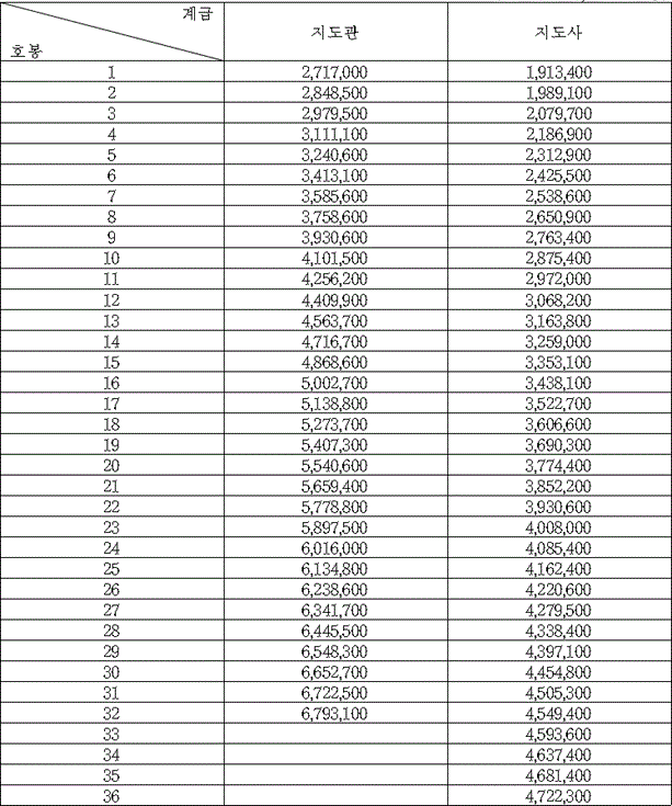
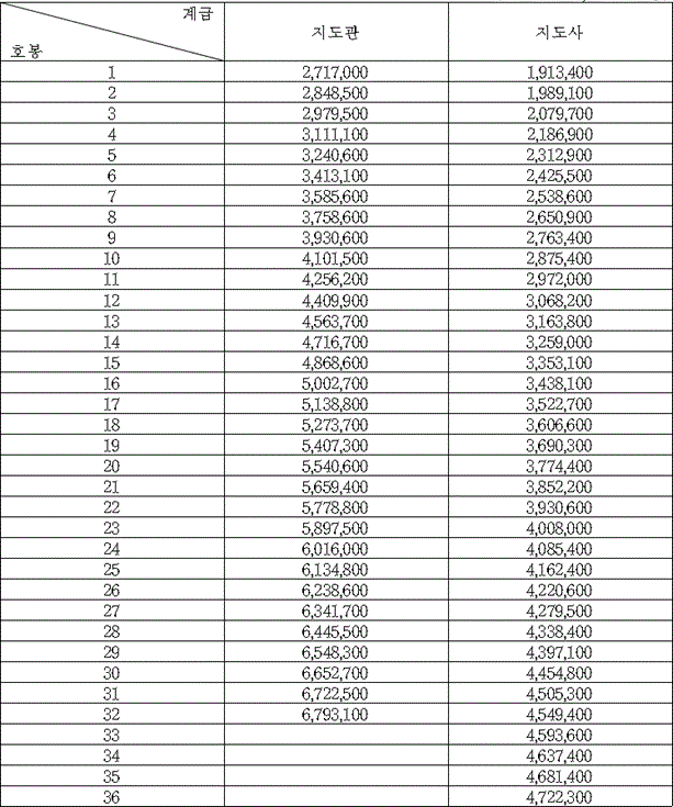
지도직 공무원 봉급표

지도직 공무원은 지도관과 지도사로 구분되며, 이들은 공공기관의 지도 및 관리 역할을 담당합니다. 지도직 공무원의 봉급은 호봉에 따라 차등 지급되며, 2024년에는 호봉별 봉급이 체계적으로 인상되어, 지도직 공무원의 업무 효율성과 동기 부여를 높이는 데 기여하고 있습니다.


2024년 봉급 인상 및 주요 변경 사항


전반적인 인상률
2024년 공무원 봉급은 전반적으로 약 2.5% 인상이 이루어졌습니다. 이는 물가 상승률, 경제 상황, 공무원 노조와의 협의를 반영한 결과로, 공무원의 생활 안정과 직무 만족도를 높이기 위한 조치로 해석됩니다. 특히, 공안직 공무원의 경우 9급 초임 1호봉에서 6%의 인상률이 적용되어 봉급이 크게 상승하였습니다.
신입 공무원에 대한 배려
신입 공무원들에게는 초임 봉급 인상이 특히 중요한 변화입니다. 2024년에 새롭게 임용되는 신입 공무원들은 초임 봉급이 인상되어, 초기 생활 안정에 도움이 되고 있습니다. 이는 공무원으로의 진로를 고려하는 예비 공무원들에게 긍정적인 영향을 미칠 것입니다.


공무원 수당 및 연금 혜택
다양한 수당 구조
공무원은 기본 봉급 외에도 다양한 수당을 받을 수 있습니다. 직무 특성에 따른 직책 수당, 근무지에 따른 지역 수당, 야간 근무나 특수 업무 수행에 따른 특수 근무 수당 등이 포함됩니다. 이러한 수당은 공무원의 근로 여건과 근무 환경을 반영하여 추가적인 소득을 제공합니다. 예를 들어, 지방 근무 공무원은 지역 수당을 통해 생활비 부담을 완화할 수 있습니다.
안정적인 연금 제도
공무원은 퇴직 후 안정적인 소득을 보장받을 수 있는 공무원 연금 제도의 혜택을 누립니다. 연금은 봉급과 근속 연수를 기반으로 산출되며, 퇴직 후에도 안정적인 재정적 지원을 받을 수 있습니다. 이는 장기적인 재정 계획을 세우는 데 중요한 요소로 작용하며, 많은 이들이 공무원을 선호하는 이유 중 하나입니다.
결론


2024년 공무원 봉급표는 다양한 직렬과 계급에 따라 체계적으로 구성되었으며, 전반적인 인상률을 통해 공무원의 생활 안정과 직무 만족도를 높이려는 노력이 반영되었습니다. 특히 신입 공무원들에게 중요한 정보인 호봉별 봉급 인상률과 수당 체계는 많은 예비 공무원들에게 유용한 자료가 될 것입니다. 공무원으로의 진로를 고려하는 분들은 이번 봉급표를 참고하여 자신의 미래를 설계하는 데 도움이 되길 바랍니다. 또한, 각 직렬별 특성과 봉급 구조를 잘 이해하고, 자신의 경력 계획에 맞는 직렬을 선택하는 것이 중요합니다. 2024년의 봉급 인상은 공무원의 역할과 책임을 재조명하며, 공공 서비스의 질을 높이는 데 기여할 것으로 기대됩니다.
'경제 직업 직장 세금 부동산' 카테고리의 다른 글
| 2024년 국립대 교수 연봉 2024 교원 대학 조교 월급 호봉표 획정 (0) | 2024.10.15 |
|---|---|
| 공무원연금 수령시기, 수령액 (0) | 2024.10.09 |
| 2025년 국민연금 인상률 및 요율 (0) | 2024.10.04 |
| 2025년 공무원 봉급 인상률 3% (0) | 2024.10.03 |
| 2024년 근로소득 간이세액표 (갑근세 조견표) 계산 (0) | 2024.09.30 |