공무원 봉급표2025 정리



오늘 주제는 공무원 봉급표입니다. 좀 있으면 2026년 공무원 봉급 인상률이 화두가 될텐데요. 일단은 아직은 2025년 공무원 봉급표입니다. “공무원 봉급표 2025”는 평균 3 % 인상이라는 숫자보다, 저연차 처우 개선이라는 방향성이 더 크게 다가옵니다. 새로 입문한 9급‧7급 공무원이 최저임금과의 간극을 걱정하지 않아도 되는 첫 해가 됐고, 교사·경찰·소방·군인까지 전 직군에 걸친 디테일 조정이 동시에 이뤄졌습니다. 올해 보수규정(대통령령 제 35181호)은 *“입직 초기에 직업 안정성을 느낄 수 있는 급여 체계”*를 핵심 메시지로 내세웁니다.
2025년 공무원 보수규정 개정 배경



- 물가 상승률 반영: 소비자물가 3 %대 흐름과 연동.
- 조기 이탈 방지: 9급 1호봉 월봉급이 200만 원 선을 넘어섰고, 연 보수(봉급+수당)는 3,222 만 원에 도달. (인사혁신처)
- 직군 간 균형: 교원·경찰·소방 등 특수직은 별도 인상폭 조정으로 공공안전·교육 서비스 품질을 지키는 방향.
직군별 공무원 봉급표 2025 핵심 포인트
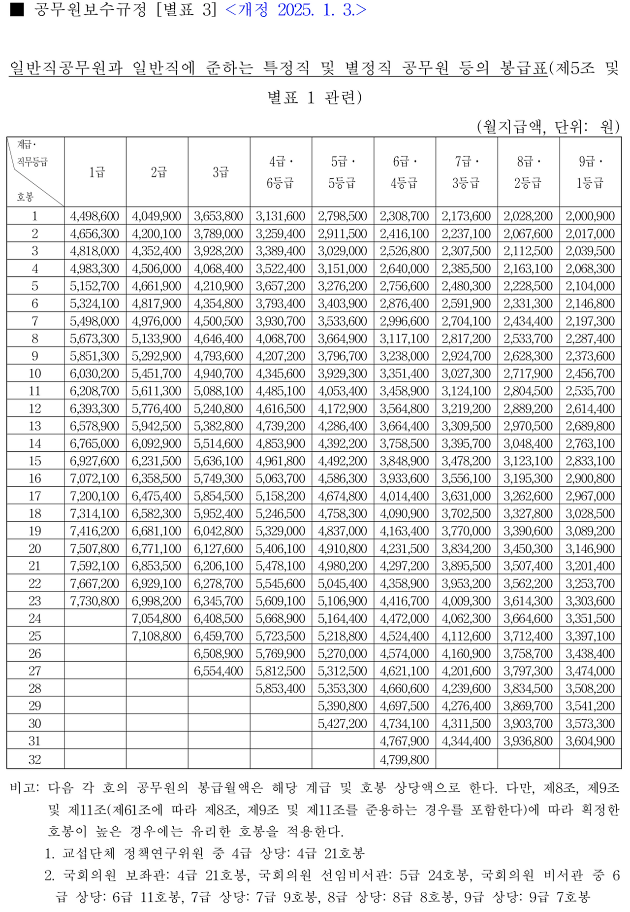
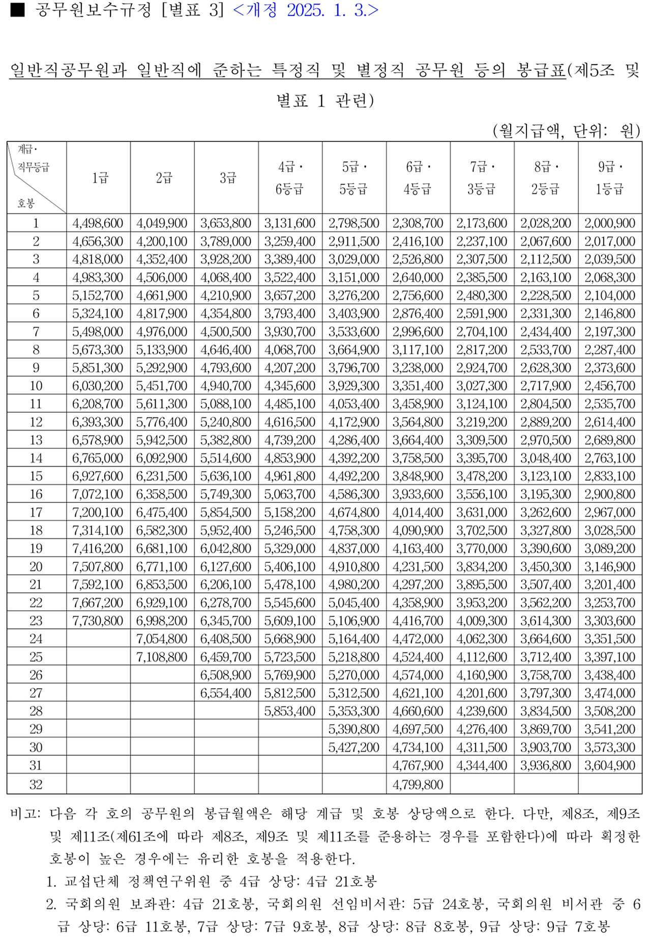
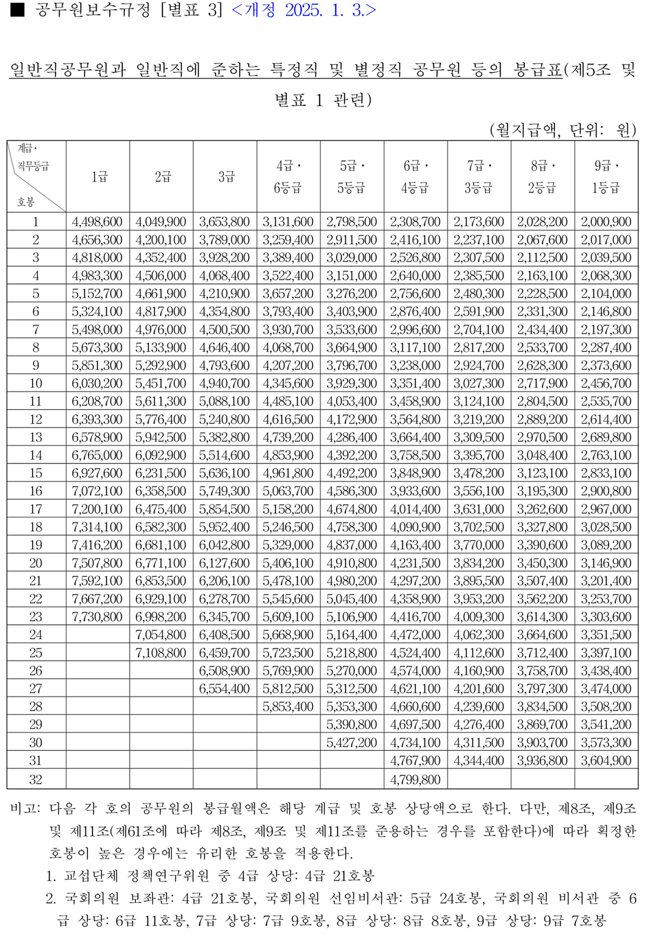
일반직 행정공무원 봉급표

| 구분 | 2024년 | 2025년 | 증감 |
| 9급 1호봉 | 1,940,000원 | 2,010,000원 | ▲3.6 % |
| 7급 1호봉 | 2,246,000원 | 2,320,000원 | ▲3.3 % |
초임 9급 보수(봉급+각종 수당)는 월 평균 269 만 원으로 계산되며, 전년 대비 약 20 만 원이 늘었습니다. (네이버 블로그)
초·중견 연차별 변화
- 5호봉 이전 구간: 평균 4 % 내외 가중 인상
- 15 호봉 이후: 2.8 % 안팎의 균등 인상
- 근속 가산금: 20 년 이상 근무자에게 최대 월 15 만 원 추가
교육 공무원 봉급표

유·초·중·고 교사 봉급(발췌)
| 호봉 | 월봉급 | 증감률 |
| 1 호봉 | 1,915,100원 | ▲5 % |
| 9 호봉 | 2,365,500원 | ▲5.25 % |
| 21 호봉 | 3,478,900원 | ▲3 % |
| 35 호봉 | 5,365,800원 | ▲3 % |
| 40 호봉 | 5,995,800원 | ▲3 % |
교사 봉급표 2025 특징
- 저호봉 구간(1 ~ 9호봉) 가파른 인상으로 교직 초기 정착 지원
- 중·고호봉은 물가보전 수준 유지
- 연구활동비·정근수당 등 별도 수당 확대 ― 2년 미만 교사 정근수당 10 %
국립대학 교원(발췌)
| 호봉 | 월봉급 |
| 1 호봉 | 2,299,000원 |
| 10 호봉 | 3,068,700원 |
| 25 호봉 | 5,205,300원 |
| 30 호봉 | 6,021,800원 |
총장·학장급은 학교 규모에 따라 고정급+책임수당으로 별도 책정.



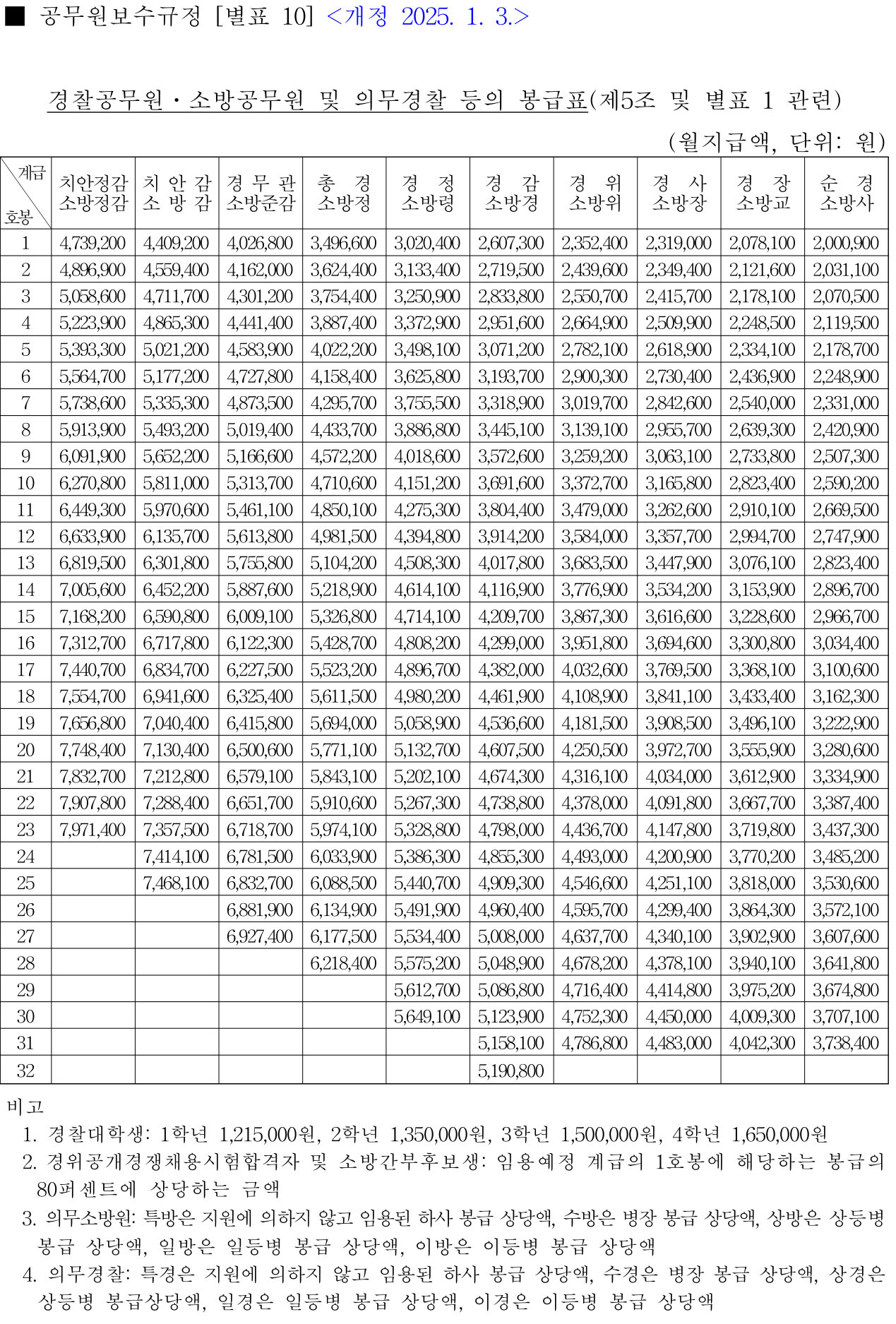
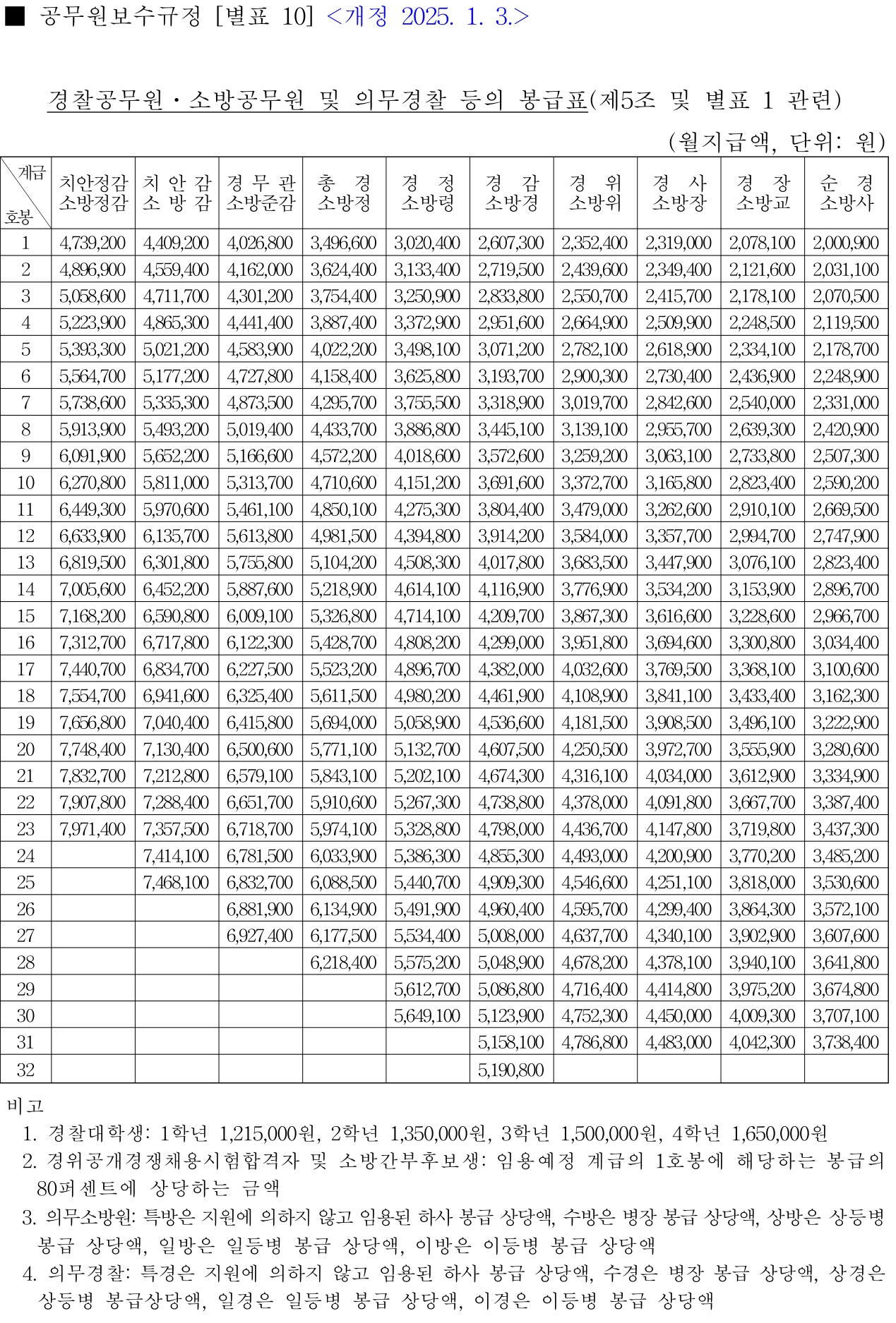
경찰·소방 공무원 봉급표

- 경찰대학생: 1 학년 1,215,000원 ⇢ 4 학년 1,650,000원. (인사혁신처)
- 순경 1호봉: 2,148,000원(’24) → 2,215,000원(’25).
- 소방사 1호봉: 2,158,000원(’24) → 2,225,000원(’25).
- 위험근무수당 최대 160,000원으로 상향, 현장 활동비 연 24회 지급.









군인 봉급표

- 이등병 750,000원 → 820,000원
- 병장 1,500,000원 → 1,580,000원
- 사관생도·간부 후보생은 “임용 예정 계급 1호봉 80 %” 기준 + 교육보조비.



국회의원 및 보좌진
- 국회의원 월정급여: 1,400 만 원 → 1,442 만 원(평균 3 %).
- 보좌관(4급 상당) 3,800 만 원대 → 3,920 만 원대(연).
국민 감시가 가장 집중되는 영역인 만큼 투명한 근거 제시가 필수.
공무원 봉급표 2025가 남긴 의미와 과제



- 인재 유치 vs. 재정 부담
- 젊은 세대를 공직으로 끌어들이려면 진입 급여 개선이 필요하지만, 국가 재정 여력은 제한적입니다.
- 직군 간 형평성
- “같은 공무원이라도 왜 인상폭이 다르냐”는 목소리를 해소하려면 업무 난이도·위험도 지표를 정교화해야 합니다.
- 수당 구조 다변화
- 고연차 교사의 급여 정체, 군 병 상여금 부족 등은 기본급만으로 해결이 어렵습니다. 직무수당·특수근무수당을 재설계해 실질 보상을 늘려야 합니다.
- 민관 임금 격차
- 대기업 대비 낮은 연봉 수준이 여전히 논란입니다. 다만 연금·신분 안정성을 포함한 총보상 관점에서 접근해야 공정한 비교가 가능합니다.
- 중장기 인상 로드맵
- 매년 번복되는 조정보다 3~5년 단위 목표치를 선제 공개해 예측 가능성을 높일 필요가 있습니다.



결론
2025년 공무원 봉급표는 “젊은 공무원에게 기회를, 국민에게는 안정된 행정서비스를”라는 의지가 녹아 있습니다. 인상폭 자체는 크지 않더라도 저연차 직군 집중 인상·특수직 위상 강화·세대 간 급여 불균형 완화라는 세 가지 축을 동시에 겨냥했다는 점에서 전략적입니다. 물론 봉급 인상만으로 관료제 문화, 직군 격차, 재정 부담이 해결되지는 않습니다.











이제 남은 과제는 투명한 정보 공개와 지속 가능한 보수 체계를 만들어 국민 신뢰를 확보하는 일입니다. 공무원 봉급 구조는 단순한 숫자표가 아니라 국가 운영의 신뢰도를 가늠하는 바로미터이기 때문입니다.


'경제 직업 직장 세금 부동산' 카테고리의 다른 글
| 종합소득세율 환급금 지급일 (0) | 2025.06.01 |
|---|---|
| 오늘의 금시세 18K 금값 팔때 1돈 가격 (0) | 2025.05.30 |
| 2025년 교원 봉급표 2025 교사 근가호봉 교육공무원 근속가봉 호봉표 (0) | 2025.05.21 |
| 월세 세액공제 조건, 연말정산 월세 소득공제 대상자 (0) | 2025.05.20 |
| 공무원 육아휴직 수당 인상, 교사‧교육 급여 기간 (0) | 2025.04.26 |