2021년 보육교사 호봉표와 2021 국공립 유치원 호봉표를 알아보자.
먼저 2021 국공립 유치원 호봉표는 아래와 같다.

2021 교육공무원 봉급표

사립유치원도 대략 비슷한 수준으로 받는다.
법적으로만...
아래는 2019년 비교 자료다.

위는 2019 교원 호봉표임.
2021년 보육교사 호봉표
월급
"1호봉=1,940,800원"
연봉
"23,289,600원"

아래는 2020년 보육교직원 인건비다.
보육교사 월급에는 추가 수당이 추가된다.
보육교사는 추가 수당을 받습니다!
- 장애아반 담임교사=월 30만 원
- 근무환견 개선비= 월 24만 원
- 영아반 담임수당=월 26만 원
- 유아반 담임수당= 월 36만 원

2020 보육교사 호봉표
참고로 2019년 보육교사 호봉표는 다음과 같다.

바로 보육교사들의 급여다.
2021년 공무원 봉급 인상률은 0.9% 인상입니다.
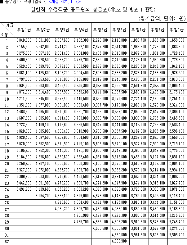
공무원 직종별 봉급표 기준이 다른데요. 위 그림은 우정직군 공무원 봉급표입니다.
참고로 기능 10급 공무원에 관련된 사항은 2020년 12월 31일까지만 효력을 가진다고 합니다.
이미 몇 년 전에 10급 공무원 제도가 폐지되었기 때문입니다.
요즘 들어 공무원 시험을 준비하시는 분이 정말 많습니다.
해가 갈수록 취업하기가 어려워지고 평생직장 개념도 사라진 지 오래되었습니다.
청년 실업률이 2014년 12월 기준으로 9%까지 올랐습니다.
이 수치는 역대 최고치라고 합니다.
단기계약직 취업 비중이 2008년 11.2%에서 6년 만에 2배나 높아졌습니다.


2021년 우정직 공무원 봉급표 2021 집배원 월급 참고로 집배원이 모두 공무원은 아닙니다.
계약직 집배원도 있습니다.
청년 실업문제의 해결의 기미조차 보이지 않습니다.
취업은 힘들고.. 중소기업에도 일자리가 없는 시대입니다.
중소기업의 각종 복지 및 급여 수준은 대기업 등과 비교해서 큰 차이가 납니다.
비정규직 또는 열악한 근무환경이나 적은 연봉에 일하지 않겠다는 분위기가 팽배합니다.
전반적인 취업시장에서의 고용불안이 이어지고, 경기침체가 지속되면서 안정적인 직장을 선호하는 현상이 증가하고 있습니다.
그 대안으로 공무원 시험을 준비하는 분들이 늘었다는 소리죠.
그런데 최근 9급 공무원 시험과목이 변경이 되었습니다.
고등학교 과정 수준의 이수과목만 충실히 공부해도 공무원 시험에 합격이 가능합니다.
그래서 많은 고등학생들조차 공무원 시험 준비를 한다고 합니다.
평생직장이 사라져 버렸습니다.

많은 직장인들이 공무원 시험을 준비하고 있습니다.
공무원 응시연령 상한선이 없습니다.
누구나 공무원 시험에 도전할 수 있습니다.
경찰공무원과 소방공무원 응시연령 상한 나이조차도 40세까지로 확대되었습니다.
요즘 공무원 채용인원도 많아지고, 진입장벽도 많이 낮아졌습니다.
정년이 법적으로 보장되는 직업은 공무원이 유일합니다.
'경제 직업 직장 세금 부동산' 카테고리의 다른 글
| 2022년 경찰공무원 봉급표 2022 교사 호봉표 '22년도 공무원 월급표 (0) | 2022.01.06 |
|---|---|
| 보배드림 소주 cf 최초 일반인 잎새주 광고 모델 조선대 13학번 대학생 (0) | 2021.10.26 |
| 2022년 육군 대령진급자 명단 ROTC 및 학사장교 해사, 공사, 육사는 없음 (0) | 2021.09.10 |
| 국내 대기업 순위 한국 기업 재계 랭킹 (0) | 2021.09.05 |
| 2021년 국립대 교수 연봉 2021 교원 대학 조교 월급 호봉표 획정, 교수 직급 (0) | 2021.07.09 |