2022년 경찰공무원 봉급표 2022 교사 호봉표 '22년도 공무원 월급표
혹시 여전히 궁금하신 분들이 계실까 봐 2022 공무원 호봉표는 어떤지 살펴보겠습니다.
매년 되풀이되는 취업난과 불안정한 경기 탓에 공무원 시험 경쟁률은 매년 상승추세에 있습니다.
2022년엔 코로나 불황 탓에 더더욱 공무원을 열망하는 분들이 많죠.
(반면에 현직 공무원들은 그 어느 해 보다 힘든 해를 보내고 있습니다만...)
공무원 시험 준비생이 되기 전에 공무원의 월급이 대체 얼마나 되는지 꼭 한번 알아보고 준비를 시작할 필요가 있겠죠?
오늘은 그래서 2022 공무원 월급표에 대해서 알아보겠습니다.
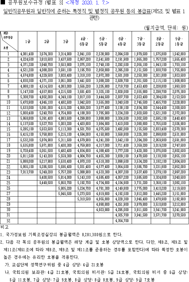
먼저 공무원 급수 차이에 따른 호봉제 급여 체계를 가진 20년도 일반직 공무원의 봉급표를 먼저 살펴볼게요.
2022년 공무원 봉급표

아래는 2020년 공무원보수표

2022년 교육공무원 봉급표
일반직 공무원은 9급부터 시작해서 1급까지 그리고 차관을 거쳐 장관까지 계급이 있습니다. (차관은 1급에서 승진하는 경우도 많지만 정무직으로 어디서 날아와 꽂히기도 합니다.)
교육공무원은 계급 없이 호봉만 적용됩니다.
교감이건 교장이건 이 호봉표에서 자유롭진 않습니다.


일반직 9급 공무원 1호봉의 월급은 기본급만 놓고 보면 2020년 최저시급과 별로 큰 차이가 나지 않아 많은 공무원들의 불만이 매우 높죠.
그래도 경기 불황 때문에 최저임금에 가까운 기본급을 받더라도 퇴직 후에 공무원 연금이 보장되는 데다 수당이 적지 않게 붙으니 최저임금과 비교는 사실 배부른 투정이죠.
공무원은 호봉제라서 호봉에 따라 기본급이 다릅니다.
같은 계급이라도 재직년수와 경력 인정에 따라 호봉이 다릅니다.
경력 인정은 남자의 경우에는 군대 다녀온 것도 공무원으로서 경력 인정이 됩니다.
부사관이나 장교 경력자라면 더 높은 호봉을 인정받겠죠?
이는 여군도 마찬가진데도 불구하고 페미 진영에서는 남녀차별의 한 가지로 군 복무 경력 가산을 늘 문제 삼죠.
아무튼 호봉은 숫자가 높을수록 급여가 높습니다.
근무연수만 쌓여도 자동으로 호봉이 높아지는 것은 공무원들은 안일하게 만드는 병폐인 것 같습니다.
공무원은 꾸준히 재직하기만 해도 봉급도 오르고 정근수당도 늘어납니다.
고위직 공무원으로 승진하기는 어렵지만 정년도 보장되고 공무원 연금도 나오니 가늘고 길게 버티기만 해도 안정적입니다.

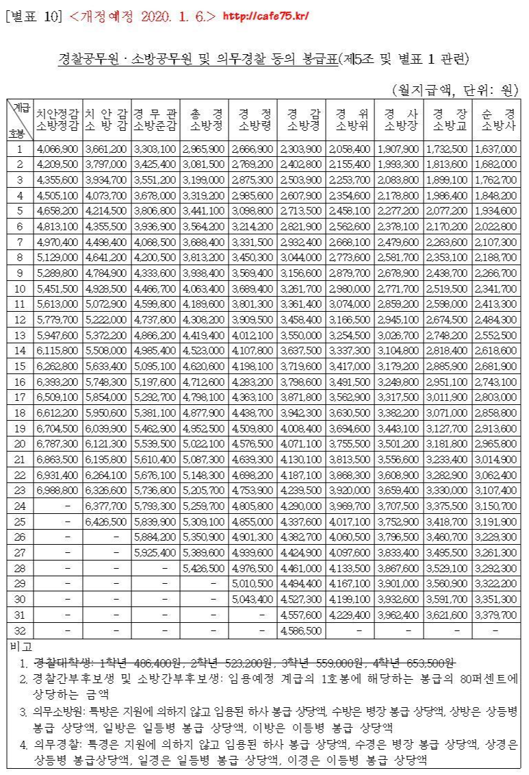
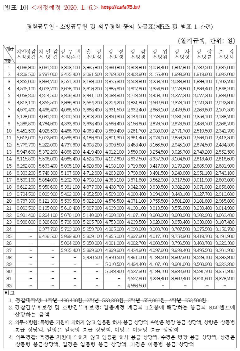
22년도 경찰공무원 봉급표 2022 소방공무원 봉급표
그밖에도 일반직 공무원 이외에 소방직, 경찰직 공무원은 월급이 다릅니다.
아니 원래 9급과 순경의 1호봉 급여는 10만 원 정도 차이가 나야 하는데, 2019년부터 같게 구성되고 있습니다.
일반행정직 기준으로 보자면 순경/소방사 계급이 9급에 해당하게 되지만, 일하는데 목숨을 걸 필요 없는 사무직 공무원과, 현장에서 언제든 죽을지 모를 위험에 노출된 경찰관이나 소방관 월급이 같다는 것은 우리 사회를 위험하게 할 문제가 될 수도 있습니다.


순경/소방사 1호봉이 일반직 공무원보다 이십만 원 정도 급여가 더 많았습니다.
하지만 2019년부터 일반직렬 공무원과 급여가 같아졌습니다.
여전히 소방관 처우 문제가 대두되는 요즘이기에 민감한 주제로 꼽히죠.
그나마 2020년부터 소방관은 국가직 공무원으로 전환되어 예전에 비해 차차 처우가 개선되고는 있습니다.
하지만 우리 어른들의 처우개선은 뭐니 뭐니 해도 머니로 보상받아야죠.
이러쿵저러쿵 해도 평생직장이 사라진 사회이기 때문에 정년이 보장되고 공무원 연금을 받을 수 있다는 점에서 참 매력적인 직장인 것은 사실입니다.
여기까지 오늘은 2020년 공무원 봉급표와 2020 교사 호봉표, 2020년 경찰공무원 봉급표 등에 대해 알아보는 시간 가져봤습니다.
2020년 경찰 공무원 봉급표 2020 소방공무원 봉급표
매년 8월말이나 9월 초면 국무회의에서 다음 해 공무원 급여 인상에 대한 예산안을 의결해 발표합니다.
매년 그해 공무원 봉급표를 포스팅해오고 있는데, 올해는 벌써 9월이 다되어 가는데, 아직도 제대로 2020년 경찰관 월급과 교원 호봉표를 주제로 포스팅을 하지 않았더군요.
이 회의에서 내용이 통과되면 기획예산처가 세부적인 예산안을 발표하고 다음해 1월 초에 공무원 보수규정 개정안이 확정이 되어 발표됩니다.
2020년 공무원 급여 인상액은 2.8%로 결정되었습니다.
공무원 임금 인상은 많지는 않지만 매년 인상되고 있습니다.
그에 반해 2018년도 최저임금은 16.4%나 올랐죠.
아마 9급 1호봉 공무원의 급여는 최저시급보다 적을 것으로 예상됩니다.
9급 1호봉 공무원의 시급은 대략 6,852원인데, 2018년 민간기업의 최저시급은 7,530원 정도였습니다.
2018년 공무원의 봉급은 직급에 따라 차등 인상되어, 기본급이 최저임금보다 높게 조정될 가능성 큽니다.
이미 국장급 이상의 공무원 인상률은 2%이고 미만은 2.6%로 정해져 있죠.
국장급 이상에는 대통령도 포함되기 때문에 문재인 대통령 월급도 2% 정도 인상되었죠.
2020년에도 차등 인상이 이루어질지는 아직 알 수 없습니다.
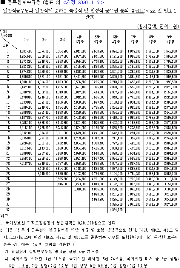
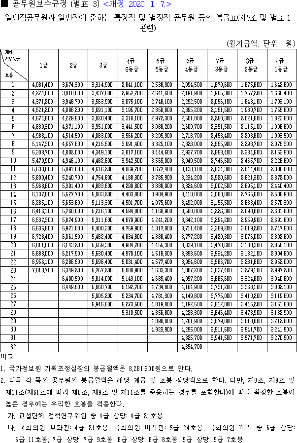
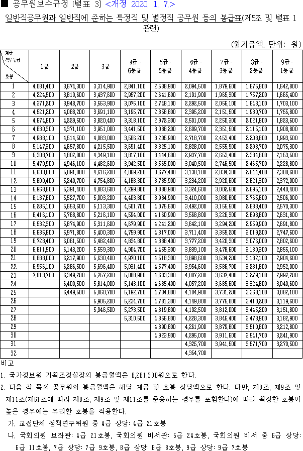
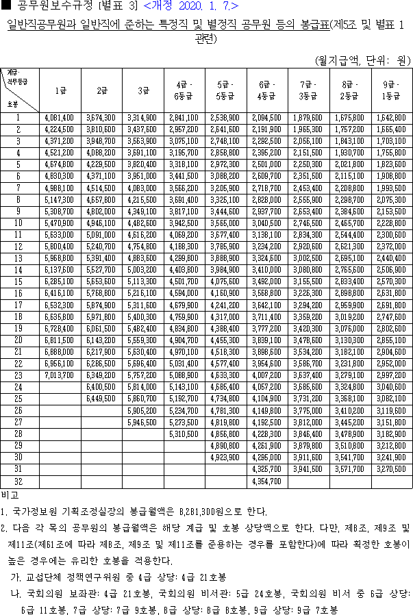
다음은 일반직, 일반직 공무원에 준하는 특정직 및 별정직 공무원 봉급표입니다. (월 지급액, 단위: 원)

다음은 2020년 경찰 공무원 봉급표 2020 소방공무원 봉급표입니다.

이상 2020년 공무원 봉급표 관련된 내용으로 포스팅 진행해봤습니다.
2019 교육공무원 봉급표 중등교사 호봉표
2019년은 공무원 급여 체계에 심각한 변동이 있는 해다.
그러함에도 불구하고 아직 언론에서는 주목을 못하고 있는 모양이다.
일단 2019 일반직 공무원 봉급표에서 9급 1호봉의 월급은 무려 159만 2400원이다.
이게 무려라는 표현을 쓸 만한가? 싶겠지만, 2018년 일반직 9급 공무원 1호봉의 급여와 비교하면 파격적으로 인상된 금액이기 때문이다.

상대적으로 일반 9급 1호봉보다 10만 원가량 많이 받던 경찰 순경 1호봉, 소방관 소방사 1호봉의 급여가 일반직 공무원과 동일해졌다.
이는 맨몸으로 재해와 범죄에 대항해서 목숨을 걸고 일하는 현장직 공무원에게는 심각한 역차별이 될 수 있는 문제다.
딱히 문제 삼을 구실도 없고, 문제 삼지도 않아야 될 2019 교육공무원 봉급표 역시 마찬가지다.
2018년에 비해서 1.8% 인상되긴 했지만, 2019 교사 봉급표에서 1호봉 기본급은 160만 5천 원대다.
9급 1호봉과 1만 원 정도밖에 차이가 나지 않는다.
물론 교사는 1호봉부터 시작하지 않기 때문에 이 문제를 문제 삼기에는 명분은 없을 터이다.
보통 정교사는 8호봉부터 시작하게 된다.
19년 초등교사 호봉표 = 2019 중등교사 호봉표 인 셈이므로 초등학교 선생님 월급이나 중학교 선생님 월급이나 고등학교 교사 월급이나 호봉이 같으면 급여에 별 차이가 없다.
2019 교육공무원 근가 봉급표는 68,800원인 것으로 알려져 있다.
2018년 교원 근가 호봉표는 67400원이었다.
근가호봉표는 10호봉까지만 책정된다.
근가 10호봉이면 대략 596만 원가량된다.
근가 1 5,341,600
근가 2 5,410,400
근가 3 5,479,200
근가 4 5,548,000
근가 5 5,616,800
근가 6 5,685,600
근가 7 5,754,400
근가 8 5,823,200
근가 9 5,892,000
근가 10 5,960,800
참고로 2019년 보육교사 호봉표는 다음과 같다.

2022년 교육공무원 근가호봉액수는 72900원입니다.

'경제 직업 직장 세금 부동산' 카테고리의 다른 글
| 고용보험 실업급여 모의계산 수급 기간 자격 금액 (0) | 2023.07.03 |
|---|---|
| 송도 코스트코 6월 휴무일 양평 영업시간 주차장 요금 공세 전기차 충전소 (0) | 2023.06.03 |
| 보배드림 소주 cf 최초 일반인 잎새주 광고 모델 조선대 13학번 대학생 (0) | 2021.10.26 |
| 2021 보육교사 호봉표 교원 월급 2021년 우정직 공무원 봉급표 21년 집배원 월급 (0) | 2021.10.25 |
| 2022년 육군 대령진급자 명단 ROTC 및 학사장교 해사, 공사, 육사는 없음 (0) | 2021.09.10 |