2023년 공무원 봉급표 임금표 직급보조비, 2023 교사 군인 정액급식비
안녕하세요, 여러분! 오늘은 많은 사람들이 궁금해하는 주제인 공무원의 월급과 실수령액에 대해 알아보려고 합니다. 공무원 시험에 합격하고 난 후 얼마나 받게 될지 궁금하시죠? 그럼 함께 알아볼까요?
2023년 공무원 봉급표를 살펴보겠습니다. 공무원의 기본급은 일반직과 일반직에 준하는 특정직 및 별정직 등의 수당과 보너스를 제외한 부분으로, 1.7% 인상된 것입니다. 공무원은 안정적인 직업이기 때문에 성실하게 근무해야 합니다. 하지만 공무원 임금은 국민이 부담하는 세금으로 지급되기 때문에 한계가 있습니다.
하지만 공무원은 다양한 복지 혜택과 수당을 받기 때문에 실제로 받는 월급은 기본급보다 훨씬 많다고 볼 수 있습니다. 또한, 호봉에 따라 공무원의 월급이 상승하므로 오랜 기간 근무하면 임금이 크게 증가할 수 있습니다.
2023 공무원 임금표와 실수령액: 공무원 월급의 실제 수준은?
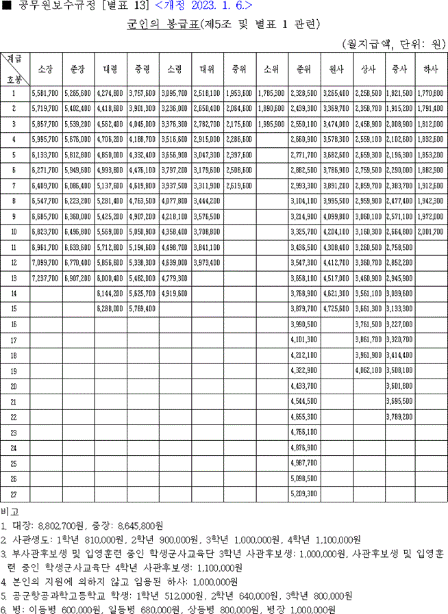
아래는 2023 공무원 봉급표입니다.




공무원의 연봉에서 공제액을 빼면 실제 수령액(수당과 보너스 제외)이 됩니다.

공제액은 기여금(연금)으로 약 120,000원, 소급 기여금으로 약 120,000원입니다.
건강보험과 장기요양보험으로는 약 50,000원이 공제되며, 소득세는 약 12,000원 정도입니다.
이렇게 총 월 30 정도가 공제된 후 나머지 금액이 실수령액으로 지급됩니다.
예를 들어, 9급 1호봉 실수령액의 경우 한 달에 약 2,000,000원 정도를 받는다고 합니다.
지금까지 2023년 공무원 임금표와 실수령액에 대해 알아보았습니다. 공무원은 안정적인 직업이지만, 급여는 국민의 세금으로 지급되기 때문에 한계가 있습니다. 그렇지만 다양한 복지 혜택과 수당을 받으므로 실제로 받는 월급은 월급표에 표시된 금액보다 훨씬 많다는 점을 기억해 주세요. 또한, 오랜 기간 근무하면 호봉에 따라 임금이 증가하므로 장기적으로 볼 때 공무원은 경제적으로 안정된 선택이 될 수 있습니다.
2023년 공무원 직급보조비인상 2023 공무원 정액급식비.
공무원의 보수에 관한 규정을 담은 대통령령에는 다양한 수당에 대한 규정이 포함되어 있습니다. 이번 인상은 2023년 최저임금과 최하위직 공무원의 임금 수준에 관한 논의와 관련이 있습니다.

최저임금이 상승하여 최하위직 공무원의 급여가 최저임금에 미치지 못할 가능성이 제기되었습니다.
이에 대한 대안으로 공무원의 통상수당을 기본급에 통합하는 방안이 제시되었습니다.
통합 대상 중 하나인 공무원 직급보조비는 아직 통합되지는 않았지만, 향후 발생할 수 있는 변화에 대비하여 가장 중요한 대상으로 지목되었습니다.
현재 대통령의 월 직급보조비는 약 3,200,000원입니다.
2019년에도 공무원 직급보조비 인상이 이루어졌으며, 2022년에는 변동이 없었습니다.
2023년 공무원 직급보조비 인상이 있었으며, 대통령 직급보조비는 동결된 상태입니다.
이번 2023년 공무원 직급보조비 인상은 6급 이하 공무원에만 적용되었습니다.

위에서 빨간색 글씨로 쓰인 부분이 2023년 인상된 구간입니다.

위에서 파란색으로 표시된 부분이 2019년 이전과 달라진 부분입니다. 이러한 금액 변동은 매년 발생하는 것은 아니며, 공무원 직급보조비의 변동은 상황에 따라 결정됩니다.
2017년에는 하위직 공무원인 9급의 직급보조비가 105,000원에서 125,000원으로 인상되었습니다.
그리고 2019년에는 다시 공무원 직급보조비가 인상되어 145,000원이 되었습니다.
하사의 직급보조비는 135,000원으로 인상되었으며, 이에 정액급식비 130,000원과 주거보조비가 포함되어 최저월급 이상의 수준으로 조정되었습니다.
2021년에는 공무원의 정액급식비가 140,000원으로 인상되었으며, 이후 동결된 상태입니다.
요약하자면, 2023년 공무원의 직급보조비에는 상당한 인상이 이루어졌으며, 특히 하사의 직급보조비가 크게 인상되었습니다. 이에 따라 공무원들의 급여는 최저 월급 이상으로 조정되었습니다. 또한, 2021년을 기준으로 공무원의 정액급식비는 140,000원으로 인상된 후 동결되었습니다. 이러한 변동은 공무원의 임금 구조를 개선하기 위한 노력의 일환으로 이해할 수 있습니다. 앞으로의 변화에 대비하여 공무원들은 관련 정보를 주시하고, 직급보조비 및 정액급식비의 변동 사항을 주시할 필요가 있습니다.
✔ 공무원 정근수당이란?
이번에는 공무원들이 받는 정근수당에 대해 알아보려고 합니다. 공무원들은 매달 월급을 받을 때, 기본 월급 외에도 다양한 수당을 받게 됩니다. 이러한 수당은 기본급과 합쳐져 월급으로 지급되는데요. 정근수당은 공무원들의 업무 수행에 대한 보상과 근면의 권장을 위해 지급되는 수당입니다. 매년 1월과 7월에 지급되며, 이 글에서는 정근수당에 대해 자세히 알아보겠습니다.
정근수당은 공무원의 근무 상황에 따라 지급 기준이 정해져 있습니다. 1월 정근수당은 전년도 7월 1일부터 12월 31일까지의 기간 동안 봉급을 받은 공무원에게 지급되며, 7월 정근수당은 올해 1월 1일부터 6월 30일까지의 기간 동안 1개월 이상의 봉급을 받은 공무원에게 지급됩니다.
공무원 정근수당 지급기준
이 수당을 받기 위해서는 최소한 15일 이상 근무해야 합니다. 공무원으로 임용된 지 15일이 지나면 한 달을 근무한 것으로 간주되어 정근수당을 받을 수 있습니다. 그러나 근속 연수에 따라 지급 금액이 달라지므로, 갓 임용된 공무원은 1년 미만의 근속 연수에서는 정근수당을 받을 수 없습니다. 하지만 군필자의 경우 근속 연수가 2년으로 인정되므로 3년 미만의 근속 연수에서도 10%의 정근수당을 받을 수 있습니다.

정리하자면, 근속 연수가 1년 이상부터는 5%씩 정근수당이 증가하며, 군필 여성을 제외한 모든 공무원이 해당 자격을 갖출 수 있습니다. 또한, 군필 남성은 전년도 12월 15일에 임용되었더라도 실제 근무한 일수가 16일뿐이더라도 한 달치 급여를 받았기 때문에 정근수당을 받을 자격이 있습니다. 근속 연수가 늘어날수록 정근수당도 함께 증가하며, 10년 이상 근무한 경우에는 월 봉급액의 50%를 받게 됩니다.
이렇게 정근수당의 지급 금액은 실제 근무한 기간을 6개월로 나눈 값에 비례합니다. 근속 연수가 올라갈수록 정근수당도 증가하는데, 근속 1년 미만인 경우에는 정근수당이 지급되지 않습니다. 2년 미만 근속 연수에는 5%의 수당이, 3년 미만 근속 연수에는 10%의 수당이 추가로 지급되며, 이와 같은 방식으로 근속 1년마다 5%의 정근수당이 증가합니다.
공무원 정근수당 가산금
또한, 공무원들은 정근수당 외에도 정근 가산금을 받게 됩니다. 이 가산금은 매월 지급되며, 군인을 제외한 모든 공무원은 5년 이상 근무하는 경우 50,000원의 가산금이 지급됩니다. 20년 이상 근무하는 경우에는 월 100,000원의 가산금이 주어집니다. 군인의 경우에도 근속 연수에 따라 가산금이 지급되며, 근속 3년 미만인 하사부터 시작하여 15,000원부터 지급됩니다.

이상으로 공무원들이 받는 정근수당에 대해 알아보았습니다. 정근수당은 공무원의 업무 수행에 대한 보상과 근면을 장려하기 위해 지급되는 수당으로, 근속 연수에 따라 지급 금액이 달라집니다. 공무원으로서 안정적인 직업을 선택한 분들에게는 정근수당이 추가로 주어져 더욱 안정적인 경제적 보장을 제공해 줍니다. 다음에는 더 다양한 공무원 수당에 대해 알아보겠습니다.
| 근속 연수 | 공무원 정근수당 |
| 1년 미만 | 미지급 |
| 1년 이상 | 5% |
| 2년 이상 | 10% |
| 3년 이상 | 15% |
| ... | ... |
| 10년 이상 | 50% |
[표 설명] 이 표는 공무원의 근속 연수에 따른 정근수당의 지급 비율을 나타냅니다. 근속 연수가 1년 이상인 경우부터는 5%씩 정근수당이 증가하며, 10년 이상 근무한 공무원은 월 봉급액의 50%를 받을 수 있습니다.
'경제 직업 직장 세금 부동산' 카테고리의 다른 글
| 2023년 보육교사 호봉표 처우개선비 2023 어린이집 교사 월급, 연봉 (0) | 2023.11.22 |
|---|---|
| 고든앤맥페일 '킹 찰스 3세 코로네이션 74년' 출시 황태자 즉위 기념 (0) | 2023.07.27 |
| 고용보험 실업급여 모의계산 수급 기간 자격 금액 (0) | 2023.07.03 |
| 송도 코스트코 6월 휴무일 양평 영업시간 주차장 요금 공세 전기차 충전소 (0) | 2023.06.03 |
| 2022년 경찰공무원 봉급표 2022 교사 호봉표 '22년도 공무원 월급표 (0) | 2022.01.06 |