2026년 공무원 봉급 인상률 3.5% 확정
2026년 공무원 보수가 3.5% 인상으로 확정되면서, 최근 몇 년간 가장 큰 폭의 급여 상승이 이루어지게 되었습니다. 2026년 공무원 봉급 인상률 3.5% 확정은 2017년 이후 9년 만의 최고 인상률이며, 공직사회와 노동계 전반에서 큰 관심을 모으고 있는 사안입니다. 2026년 공무원 봉급 인상률은 단순한 임금 조정 이상의 의미를 지니며, 민간과 공공의 임금 격차, 물가 상승률, 정부 재정 상황, 인사 관리 정책 등 복합적인 요소가 얽혀 있는 문제입니다.

이번 내년도 공무원 보수 인상률은 특히 민간 임금 상승 폭에 비해 상대적으로 뒤처져온 공무원 급여 수준을 보완하고, 공직 사회 내 불만을 잠재우려는 정책적 고려가 담겨 있다고 볼 수 있습니다.
2026년 공무원 보수 인상률 결정 배경
이번 내년 공무원 임금 인상 3.5% 인상률 확정은 단순히 임금 협의의 결과가 아니라, 사회경제적 변화와 공공부문 인력 관리 전략이 결합된 결과입니다.



- 민간 임금 격차 확대: 2020년까지 공무원 급여는 민간 기업 평균 임금의 약 90% 수준을 유지했지만, 2024년에는 83.9%까지 하락했습니다. 이는 공직자의 상대적 박탈감을 키웠고, 우수 인재 유입에도 영향을 주었습니다.
- 물가 상승과 생활비 부담: 최근 몇 년간 생활물가가 꾸준히 오름세를 보이면서, 공무원 보수 인상률이 물가 상승률을 따라가지 못한 해가 많았습니다. 2021년부터 2023년까지는 연속적으로 실질 임금이 줄어드는 현상까지 발생했죠.
- 노조 요구: 공무원노조는 최소 6.6% 인상을 요구하며 정부와 협상을 진행했습니다. 결과적으로 정부는 재정 부담을 감안해 3.5%로 확정했지만, 이는 최소한의 절충안 성격을 띱니다.
최근 10년간 공무원 보수 인상률 추이






- 2017년 공무원 봉급 인상률: 3.5%
- 2018년 공무원 봉급 인상률: 2.6%
- 2019년 공무원 봉급 인상률: 1.5%
- 2020년 공무원 봉급 인상률: 2.8%
- 2021년 공무원 봉급 인상률: 0.9% (팬데믹 영향)
- 2022년 공무원 봉급 인상률: 1.4%
- 2023년 공무원 봉급 인상률: 1.7%
- 2024년 공무원 봉급 인상률: 2.5%
- 2025년 공무원 봉급 인상률: 3.0%
- 2026년 공무원 월급 인상률: 3.5% 확정
이 지난 10년간 공무원 급여 인상률 수치를 보면, 2021년 팬데믹 직후 급격히 하락한 인상률이 이후 점진적으로 상승세를 타며, 2026년에 이르러 9년 만의 최고치를 기록하게 되었음을 알 수 있습니다.
공무원 임금 인상률이 미치는 영향






1. 공무원 생활 안정성 강화
공무원 급여는 단순히 개인 소득 차원을 넘어, 안정적인 사회 운영의 기반이 됩니다. 3.5% 인상은 전반적인 생활비 상승을 어느 정도 완화하고, 청년층 공직자의 사기 진작에 기여할 것으로 예상됩니다.
2. 민간과 공공의 임금 격차 완화
민간 기업의 임금 인상률이 최근 5~6%에 달하는 경우가 많아, 공무원 급여의 상대적 박탈감이 컸습니다. 이번 조치는 격차를 줄이는 데 의미가 있으며, 장기적으로 공무원의 이탈을 방지하는 효과를 기대할 수 있습니다.
3. 국가 재정 부담 증가
반대로, 전체 공무원 인건비 예산은 상당한 재정 부담을 수반합니다. 중앙정부와 지방자치단체 모두 예산 구조 조정이 불가피하며, 복지 지출·SOC 예산 등 타 부문에 영향을 줄 가능성도 있습니다.






직급별 예상 변화
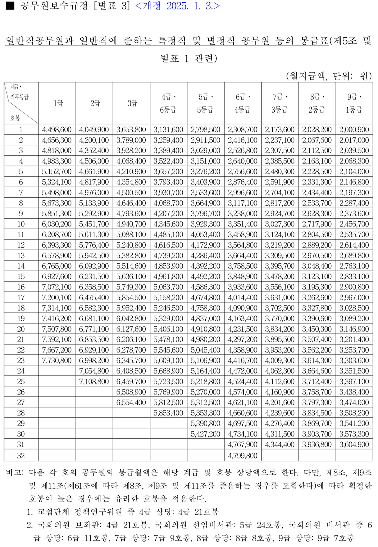
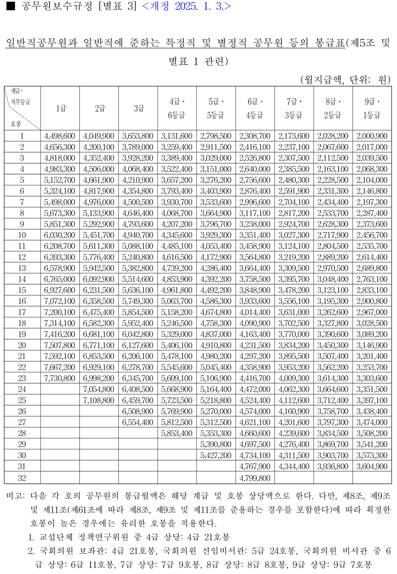
공무원 급여 인상률은 일률적으로 적용되지만, 체감 효과는 직급과 호봉에 따라 다르게 나타납니다.
- 9급 신규 공무원: 월 200만 원 초반대 기본급이 약 7만 원가량 상승.
- 6급 중견 공무원: 월 350만 원대 급여가 약 12만 원가량 상승.
- 4급 과장급 이상: 월 500만 원 이상 구간에서는 약 17만 원 이상 인상 효과.
이처럼 직급이 높을수록 인상액은 커지지만, 생활비 부담이 큰 하위직 공무원에게는 상대적으로 체감되는 만족도가 더 높을 수 있습니다.






공무원 급여 인상률에 대한 공직 사회 반응
대체로 긍정적인 평가가 많지만, 일부에서는 여전히 부족하다는 의견도 나옵니다. 특히 지방공무원 단체에서는 “민간 대비 격차를 줄이려면 최소 5% 이상 필요하다”는 주장이 제기됩니다. 반면 기획재정부는 “재정 건전성을 지키면서도 최대한 배려한 수치”라며 균형을 강조했습니다.
결론






2026년 공무원 봉급 인상률 3.5% 확정은 공직 사회 안정성과 민간 격차 완화라는 두 가지 목적을 동시에 추구한 결정입니다. 비록 공무원 노조의 요구치보다는 낮지만, 지난 몇 년간의 실질임금 감소 추세를 고려하면 의미 있는 상승이라 평가할 수 있습니다. 향후 중요한 과제는 공무원 보수체계의 합리적 개편과 직무·성과 중심의 인사관리 개선일 것입니다. 단순히 ‘얼마 올랐다’에 머무르지 않고, 장기적인 국가 운영 전략의 일부로서 공무원 보수 정책을 바라봐야 할 시점입니다.






'경제 직업 직장 세금 부동산' 카테고리의 다른 글
| 공무원 초과근무수당 단가표 2026년 인상 (0) | 2025.08.30 |
|---|---|
| 2026년 공무원 봉급표 2026 교사 호봉표 (0) | 2025.08.29 |
| 2026년 공무원연금 인상률, 물가상승률 (0) | 2025.08.28 |
| 공무원 여비규정 (0) | 2025.08.24 |
| 부모상 휴가일수, 배우자 형제 자매 사망 시 경조사 휴가규정 (0) | 2025.08.24 |