2026년 공무원 봉급표 - 내년 공무원 봉급 인상률
2026년 공무원 봉급 인상률이 확정되었습니다. 정부는 내년부터 공무원 보수를 올해보다 3.5% 인상하기로 결정했는데, 이는 2017년 이후 9년 만에 가장 큰 폭의 인상입니다. 최근 몇 년간 공무원 임금 상승률이 물가상승률에도 미치지 못하면서 공직사회 내부의 불만이 높아졌고, 공무원노조 또한 6%대 인상을 요구했지만, 정부는 재정 건전성과 민간과의 임금 격차를 감안하여 3.5%라는 절충안을 내놓았습니다. 이번 결정은 민간 임금 대비 공무원 보수가 80% 초반대로 떨어진 현실을 개선하려는 목적도 담고 있습니다.



이 글에서는 2026년 공무원 봉급표를 일반직렬, 경찰·소방, 군인, 교원으로 나누어 살펴보고, 각 직렬별 인상 폭과 특징을 정리해 드리겠습니다.
2026년 공무원 봉급 인상률 3.5%
공무원 보수는 「공무원보수규정」에 따라 매년 국무회의를 통해 확정됩니다. 공무원 노조는 6.6% 인상을 요구했습니다만, 공무원 노조는 깍일걸 예상해서 세게 부르고 정부는 늘 깍죠. 원하는대로 다 들어 줄 수는 없을테니까요.

- 2021년: 0.9%
- 2022년: 1.4%
- 2023년: 1.7%
- 2024년: 2.0%
- 2025년: 2.5%
- 2026년: 3.5% (확정)
올해 인상률은 2021년 이후 줄곧 물가를 밑돌던 흐름을 반전시킨 것으로 평가됩니다. 특히 젊은 세대 공무원 사이에서는 낮은 임금과 높은 업무 강도로 이탈이 많았는데, 이번 인상은 공직사회 사기 진작에 중요한 계기가 될 전망입니다.









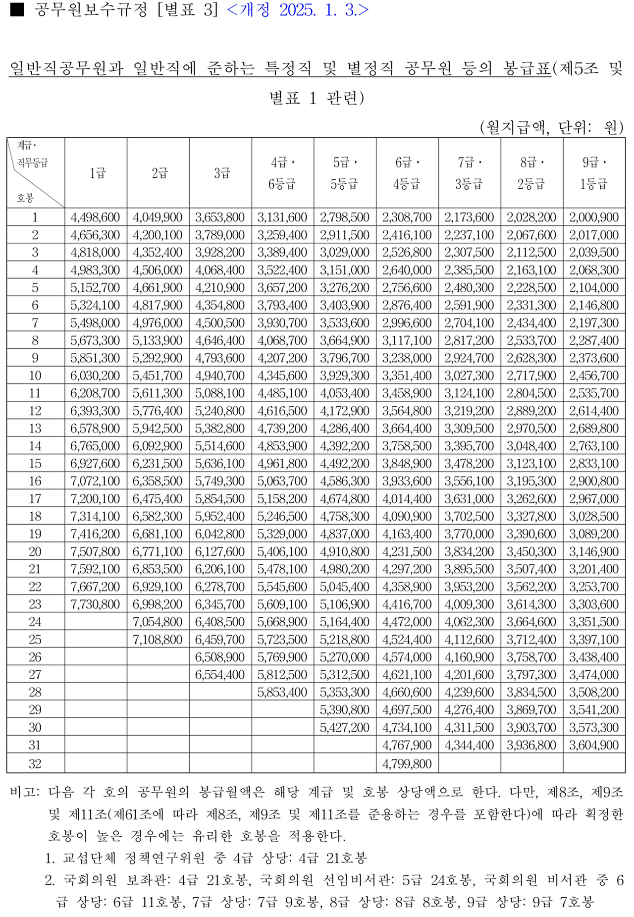
2026년 공무원 봉급표 (일반직렬)
일반직렬 공무원은 1급부터 9급까지 직급과 호봉에 따라 월급이 책정됩니다. 인상률 3.5%가 반영된 2026년 공무원 봉급표는 다음과 같은 구조입니다.

- 1급 공무원 1호봉: 4,656,100원
- 5급 공무원 1호봉: 2,896,400원
- 7급 공무원 1호봉: 2,249,700원
- 9급 공무원 1호봉: 2,070,900원
즉, 9급 신규 공무원 초봉은 207만 원대로, 각종 수당(정근수당, 가족수당, 직급보조비 등)을 포함하면 실수령액은 더 높아집니다.
특히 6급 15호봉 이상에서는 월급이 400만 원을 넘어서며, 1급 고위공무원은 700만 원대 후반까지 도달합니다.






2026 경찰·소방 공무원 봉급표
경찰·소방공무원의 봉급체계는 일반직과 다소 다르며, 현장에서 근무하는 특수성을 반영하여 책정됩니다.

- 순경·소방사 1호봉: 2,000,900원
- 경장·소방교 1호봉: 2,078,100원
- 경위·소방위 1호봉: 2,352,400원
- 경감·소방경 1호봉: 2,607,300원
- 총경·소방정 1호봉: 3,496,600원
- 치안정감·소방정감 1호봉: 4,739,200원
경찰·소방공무원은 위험 직무 특성상 각종 위험근무수당, 특수업무수당이 추가로 지급되며, 초과근무수당 또한 다른 직렬에 비해 높습니다. 따라서 실제 체감 월급은 봉급표 금액보다 훨씬 큽니다.






2026년 교사 호봉표 (2026 교육공무원 봉급표)
교육공무원의 월급은 일반직 공무원과 다르며, 호봉제 중심으로 운영됩니다.

- 1호봉: 1,982,100원
- 10호봉: 2,471,400원
- 20호봉: 3,481,000원
- 30호봉: 4,826,800원
- 40호봉: 6,205,700원
즉, 신규 임용 교사 초봉은 약 200만 원 수준이며, 20호봉 이상 경력 교사는 400만 원대 중후반, 40호봉 정점에서는 620만 원 이상까지 상승합니다. 교사들은 방학 중 근무, 학급운영비, 담임수당 등 별도의 수당을 받기 때문에 실제 월 실수령액은 봉급보다 높습니다.






2026 군인 월급
군인은 직업군인과 병사 모두 2026년부터 3.5% 인상이 적용됩니다.

- 소위 1호봉: 2,087,900원
- 대위 1호봉: 2,805,000원
- 중령 1호봉: 4,105,800원
- 대령 1호봉: 4,671,200원
- 준장 1호봉: 5,753,700원
- 소장 1호봉: 6,099,000원
또한 병사 월급은 별도 기준으로 책정되며, 국방부가 ‘병사 봉급 월 150만 원 시대’를 목표로 점진적으로 인상 중입니다. 2026년 기준 병장은 약 1,300,000원 이상을 받을 것으로 전망됩니다.






결론
2026년 공무원 봉급 인상률 3.5%는 단순한 임금 조정 이상의 의미를 가집니다.
- 공직사회 내부의 불만을 해소하고
- 민간 대비 낮아진 임금 수준을 개선하며
- 청년층 공무원 지원 감소세를 완화하는 효과가 기대됩니다.
2026년 봉급표를 보면, 9급 신규 공무원은 약 207만 원부터 출발, 교사는 198만 원부터, 경찰·소방 순경·소방사는 200만 원부터 시작합니다. 장기 근속자와 고위직으로 갈수록 600만 원~800만 원 이상도 가능한 구조입니다.
그러나 여전히 민간과의 임금 격차 문제는 남아 있습니다. 특히 IT·전문직 대비 낮은 보수와 과중한 업무는 공직사회의 구조적 문제로 지적됩니다. 따라서 이번 인상률은 단기적 보완책일 뿐, 장기적으로는 직무급제 도입, 수당체계 정비, 공무원 복지 강화와 같은 종합적 개혁이 필요합니다.
'경제 직업 직장 세금 부동산' 카테고리의 다른 글
| 소방 공무원봉급표2025 (0) | 2025.09.01 |
|---|---|
| 공무원 초과근무수당 단가표 2026년 인상 (0) | 2025.08.30 |
| 2026년 공무원 봉급 인상률 3.5% 확정 (0) | 2025.08.29 |
| 2026년 공무원연금 인상률, 물가상승률 (0) | 2025.08.28 |
| 공무원 여비규정 (0) | 2025.08.24 |