소방공무원봉급표2025
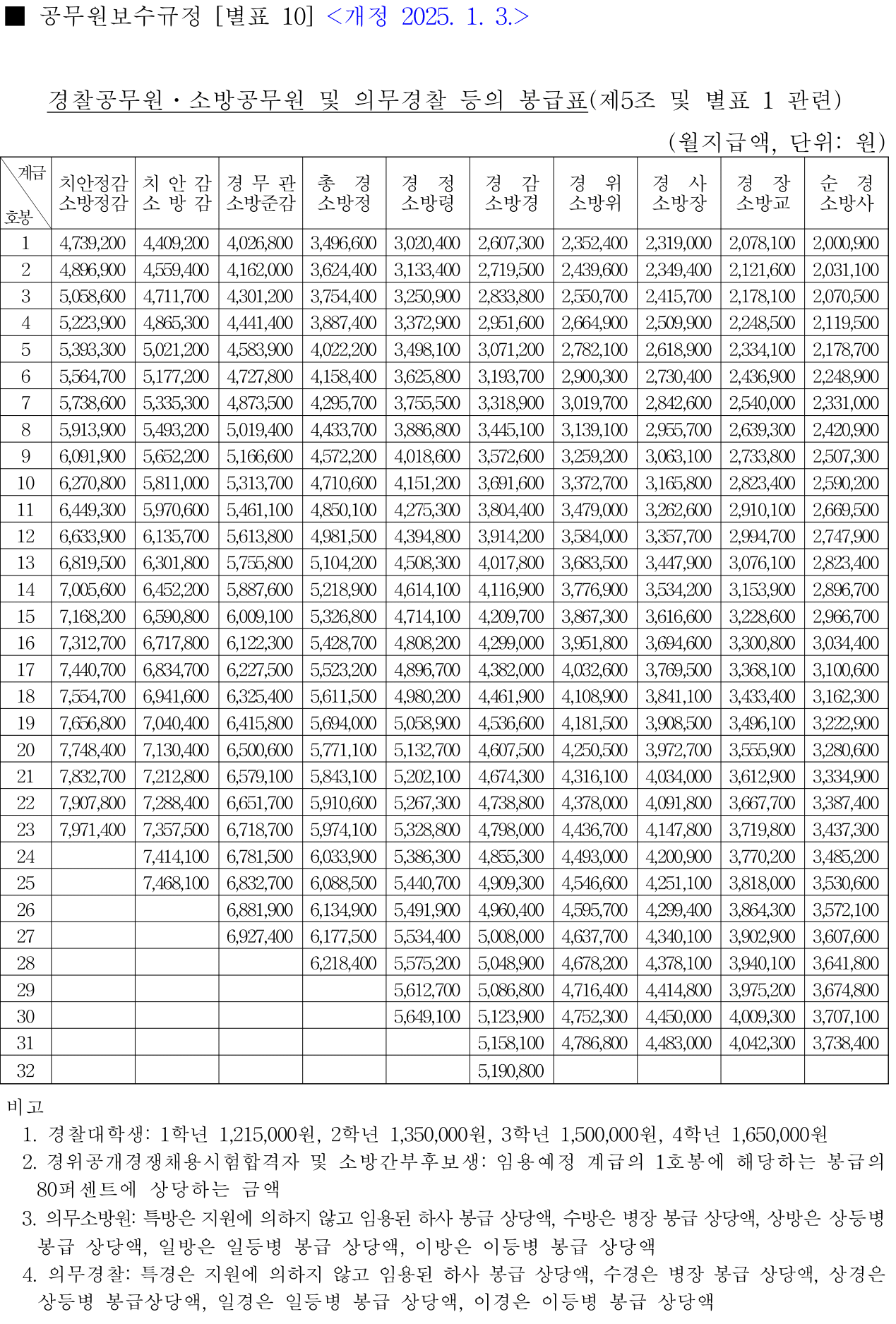
며칠전에 2026년 공무원 봉급 인상률이 발표되면서 2025년 공무원 봉급표에 대한 관심도 덩달아 높아졌습니다. 올초 인사혁신처 발표에 따르면 올해 공무원 보수는 평균 3.0% 인상되었으며, 특히 저연차 공무원(7~9급)의 사기 진작을 위해 추가 인상이 반영되었습니다. 그 결과 소방 공무원봉급표2025에 따르면 9급 1호봉에 해당하는 소방사 초임 봉급은 2024년 1,877,000원에서 2025년 2,000,900원으로 무려 6.6% 상승했습니다.


이번 인상은 단순히 기본급 상승에 그치지 않고 위험근무수당, 민원업무수당 가산금 신설 등 다양한 수당과 복리후생 확대로 이어지고 있습니다. 화재 진압, 구조, 구급 등 고위험 직무를 맡고 있는 소방공무원의 처우 개선은 국민 안전과 직결된 중요한 사안이기에, 이번 개편은 의미가 크다고 할 수 있습니다.
2025년 소방공무원 봉급 인상 배경
소방공무원의 봉급 인상은 단순한 연봉 상승 차원을 넘어, 인력 유출 방지와 직무 특성 반영을 위해 진행되었습니다.



- 저연차 공무원 보완: 신규 임용 후 5년 이하의 공무원은 최대 6.6%까지 인상.
- 위험근무수당 인상: 2024년 월 60,000원 → 2025년 월 70,000원.
- 민원업무수당 가산금 신설: 민원 처리 업무 담당자에게 월 30,000원 추가 지급.
이는 단순히 물가 인상률을 반영하는 것이 아니라, 소방공무원들이 실제로 체감할 수 있는 처우 개선책이라 평가됩니다.
소방 공무원봉급표 2025
소방공무원의 계급은 경찰공무원과 동일 체계를 따르며, 계급별 기본급은 호봉제에 따라 상승합니다. 다음은 소방 공무원봉급표 2025입니다.

- 소방사(9급): 초임 2,000,900원
- 소방교(8급): 약 2,331,000원 수준
- 소방장(7급): 약 2,590,000원 수준
- 소방위(6급): 약 3,020,000원 이상
- 소방경 이상 간부급: 3,500,000원 이상부터 시작해 최대 7,000,000원 이상까지
이는 승진과 근속에 따른 단계적 보상 체계를 유지하면서, 책임과 전문성을 반영한 구조입니다.






소방공무원 주요 수당 정리
위험직무수당
- 금액: 월 150,000원(정액 지급)
- 적용: 화재 진압, 구조, 구급 등 위험 업무 수행자 전원
야간근무수당
- 금액: 1회 50,000원
- 적용: 오후 10시 ~ 오전 6시 근무 시 지급
- 예시: 월 6회 야간 근무 시 300,000원 추가
출동수당
- 금액: 건당 3,000원
- 적용: 화재·구조·구급 출동 시 지급
- 예시: 월 20회 출동 시 60,000원 추가
휴일근무수당
- 금액: 1일 80,000원
- 적용: 명절·공휴일 근무 시 지급
- 예시: 설 연휴 3일 근무 시 240,000원 추가
특수임무수당
- 금액: 상황별 차등 (최대 수십만 원)
- 적용: 대형 화재·특수 구조 활동 시 지급






소방공무원 복지 혜택
주거 안정 지원
- 기숙사 제공 (신규 임용자 및 지방 근무자 대상)
- 일부 지역은 월 20만~30만 원 주거비 보조
공무원 연금
- 20년 이상 근속 시 퇴직 후 안정적인 연금 수령
- 예시: 소방위로 20년 이상 근무 → 월 200만 원 이상 연금
교육 및 자기계발 지원
- 자녀 학자금 일부 지원
- 자격증 취득·교육비 지원 (구급대 전문 교육 등)
의료 지원
- 연 1회 정밀 건강검진 무료 제공
- 직무 중 부상 시 치료비 100% 지원
교통비 및 식비
- 교통비: 월 5만~10만 원
- 식비 보조: 월 70,000원 내외
소방공무원 계급별 역할과 급여 특징

- 소방사 (9급)

- 역할: 화재 진압, 초기 대응, 구조·구급 실무
- 특징: 초임이지만 위험수당 포함 안정적 처우
- 소방교 (8급)

- 역할: 현장 지휘 보조, 팀 관리
- 특징: 근속 3~5년차에 해당, 급여 상승폭 체감
- 소방장 (7급)

- 역할: 팀 단위 지휘 및 현장 운영 책임
- 특징: 수당 비중 커져 중간관리자급 혜택
- 소방위 (6급)

- 역할: 부서 관리, 대형 화재 대응 총괄
- 특징: 간부직으로 승진 시 급여 급상승
2025.06.10 - [경제 직업 직장 세금 부동산] - 소방관 계급 체계, 소방공무원 직급 순서

결론
2025년 소방공무원 봉급 인상은 단순한 임금 조정이 아니라, 직무 특수성과 위험성을 반영한 처우 개선이라는 점에서 의미가 큽니다. 특히 초임 인상률을 높여 신규 인력 유입을 장려하고, 다양한 수당과 복지 혜택을 확대한 점은 긍정적으로 평가할 수 있습니다.






앞으로 2026년에 공무원 봉급인상률은 3.5%로 확정되었으며 저연차의 경우 최대 6.8% 인상 가능성이 제기되고 있어, 소방공무원의 직업 안정성과 근무 의욕은 더욱 강화될 것으로 보입니다. 국민 안전을 위해 헌신하는 소방공무원들에게 합당한 보상이 이루어지고 있다는 점은 사회적으로도 큰 의의가 있으며, 이러한 흐름이 지속적으로 이어지길 기대합니다.
'경제 직업 직장 세금 부동산' 카테고리의 다른 글
| 추석 연휴 휴일 근무수당 계산방법 (0) | 2025.09.02 |
|---|---|
| 근로소득세율 절세전략 (0) | 2025.09.01 |
| 공무원 초과근무수당 단가표 2026년 인상 (0) | 2025.08.30 |
| 2026년 공무원 봉급표 2026 교사 호봉표 (0) | 2025.08.29 |
| 2026년 공무원 봉급 인상률 3.5% 확정 (0) | 2025.08.29 |