2025년 군무원 봉급표 완벽 정리: 5급·7급·9급 월급 비교
현장 실무를 책임지는 군무원 급여는 공무원 보수규정 개정에 따라 매년 달라집니다. 2025년에는 평균 3 % 인상이 확정되면서 특히 9급·7급 저연차 구간의 처우가 크게 개선되었습니다.



2025년 군무원 보수 개정 핵심 포인트
- 기본 인상률: 전 계급 평균 3 %, 하위직(9급·7급) 중심의 추가 가중 인상
- 9급 1호봉 첫 200만 원 돌파: 2,000,900원(전년 대비 +6.6 %)
- 직무급제 단계적 도입: 2023년 발표 이후 일부 직렬 시범 적용 중, 2025년에도 혼합 운영
- 근속가산금 상향: 20년 이상 근무 시 최대 15만 원 → 15만 5천 원으로 소폭 인상
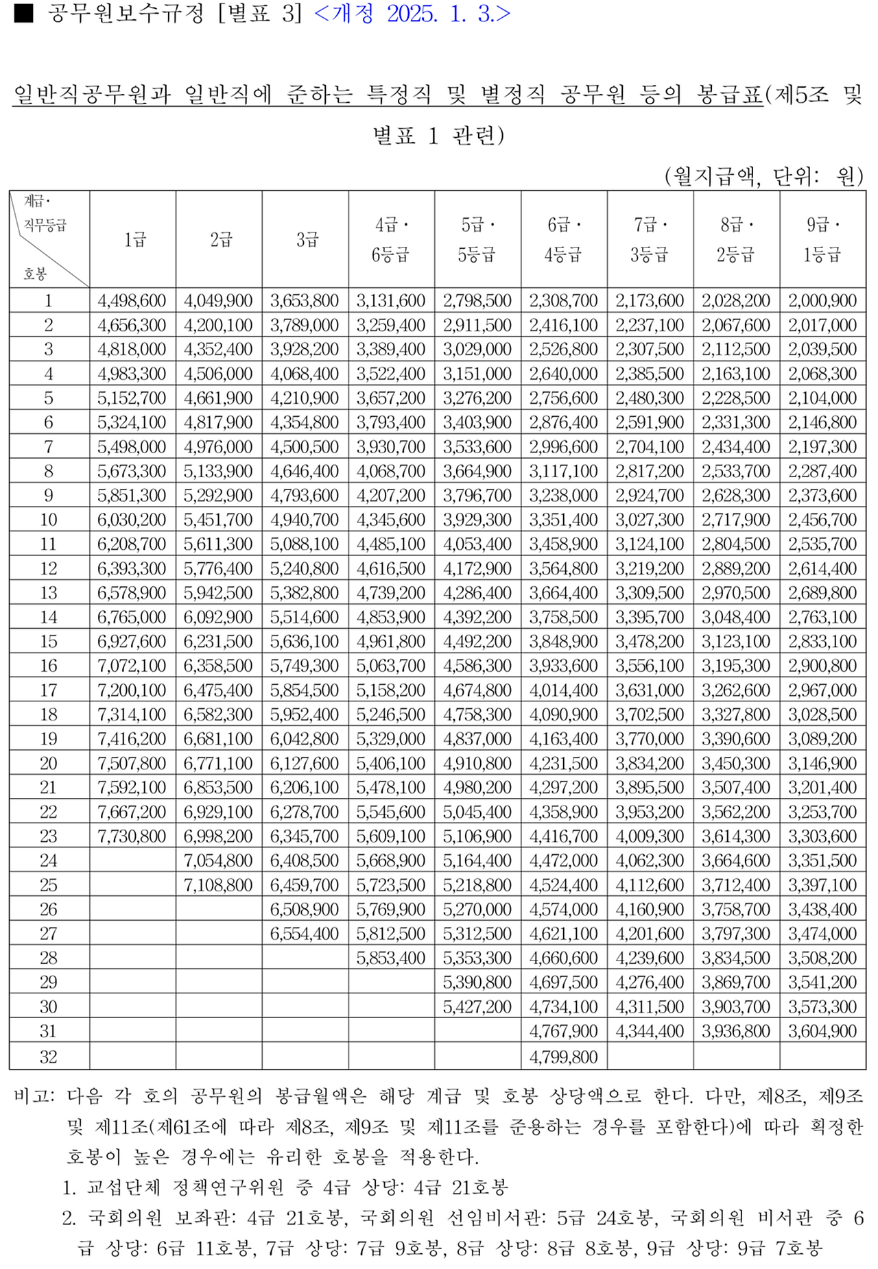
2025년 군무원 봉급표 (기본급 기준)
본 글에서는 2025년 군무원 봉급표(2025년 공무원 봉급표)를 토대로 5급·7급·9급 군무원의 기본급, 주요 수당, 실수령액 예시까지 한눈에 정리합니다. 군무원 지원을 준비하거나 재직 중이신 분이라면 꼭 참고하시기 바랍니다.

군무원이라고 부르지만, 사실 군에서 근무하는 일반직 공무원과 마찬가지기 때문에 월급은 딱 일반직 공무원과 동일합니다. 하지만, 실제로는 일반직렬 공무원보다 더 노비에 가까운게 현실이죠. 당직사령 근무도 서고 심한데는 위병소 근무도 시킨다던데...그럼 안되잖아요?


9급 군무원 월급
- 1호봉: 2,000,900원
- 5호봉: 2,104,000원
- 15호봉: 2,833,100원
- 전년 대비: +123,900원(6.6 %)
- 실수령액 예시(1호봉, 미혼)
- 직급보조비 55,000원
- 정액급식비 200,000원
- 명절휴가비(연 2회) 월 환산 83,000원
- 시간외수당(월 10시간 가정) 90,000원
- 월 총액 ≈ 2,429,000원
- 4대 보험·소득세 공제 후 실수령 ≈ 2,180,000원
7급 군무원 월급
- 1호봉: 2,173,600원
- 5호봉: 2,480,300원
- 15호봉: 3,478,200원
- 전년 대비: +123,000원(6.0 %)
- 실수령액 예시(1호봉, 1자녀)
- 직급보조비 65,000원
- 정액급식비 200,000원
- 가족수당(배우자·자녀 1) 80,000원
- 시간외수당(월 15시간) 140,000원
- 명절휴가비 월 환산 90,000원
- 월 총액 ≈ 2,748,600원
- 공제 후 실수령 ≈ 2,450,000원
5급 군무원 월급
- 1호봉: 2,798,500원
- 5호봉: 3,403,900원
- 15호봉: 4,492,200원
- 전년 대비: +81,500원(3.0 %)
- 실수령액 예시(5호봉, 2자녀)
- 직급보조비 115,000원
- 정액급식비 200,000원
- 가족수당(배우자·자녀 2) 130,000원
- 정근수당 월 환산 85,000원
- 시간외수당(월 15시간) 160,000원
- 명절휴가비 월 환산 95,000원
- 월 총액 ≈ 4,188,900원
- 공제 후 실수령 ≈ 3,690,000원
2024년 대비 인상률 분석
2025년 봉급표는 2024년에 비해 다음과 같이 상승했습니다.
- 9급 1호봉: 1,877,000원 → 2,000,900원 (+6.6 %)
- 7급 1호봉: 2,050,600원 → 2,173,600원 (+6.0 %)
- 5급 1호봉: 2,717,000원 → 2,798,500원 (+3.0 %)
인상 폭이 9급·7급에 집중돼 저연차 처우 개선 효과가 두드러집니다.
군무원 수당 체계 정리

- 직급보조비: 직급별 고정 55,000 ~ 265,000원
- 정액급식비: 200,000원(전 직급 동일)
- 가족수당: 배우자 40,000원, 자녀당 20,000원(3자녀부터 50 % 가산)
- 정근수당: 근속 1년 이상 매년 4·10월 지급(1 % ~ 자연증가)
- 시간외근무수당: 통상임금 × 1.5, 월 57시간 상한
- 명절휴가비: 기본급 10 % × 2회
- 특수지근무·위험근무수당: 해당 직무 종사 시 별도 가산

호봉제 폐지·직무급제 전환 동향
정부는 2023년 직무급제 전환 로드맵을 공표했습니다. 2025년 현재 연구·전산·장비관리 등 일부 직렬에서 시범 운영 중이며, 2027년까지 전 직렬 확대가 목표입니다. 전환이 완료되면 직무 가치·난이도·성과가 급여 결정의 핵심이 되어 호봉 중심 체계에서 벗어나게 됩니다.



2025년 실수령액 계산 방법
- 기본급 + 고정수당(직급보조비·급식비) + 변동수당(가족·정근·시간외)
- 연가보상비·성과상여금은 월 평균치로 나누어 반영
- 공제: 국민연금(9 %), 건강보험(7 % 정도), 장기요양, 고용보험, 소득세·지방소득세
- 실수령액 = 1 + 2 − 3
초임 9급 기준 월 2.0 → 실수령 2.18 만 원, 연 ≈ 2,600만 원, 연봉(상여 포함) ≈ 3,100만 원으로 추정됩니다.
군무원 지원·재직자를 위한 팁
- 채용 시기: 2026학년도부터 9급 기술직 경채 비율 확대 예정
- 근속가산금: 20년차 직전부터 매년 5만 원 이상 차등 가산, 장기 근속 설계 필수
- 성과급: 2025년부터 A 등급 200 %, B 175 %, C 150 %로 차등폭 확대 – 업무평가 준비
- 주거·교육 복지: 공공임대 우선권, 군 자녀 특례입학 등 복지제도 적극 활용



군대 2번 가세요, 3번 가세요~ 군무원으로 누리는 군체험!




결론: 2025년 봉급표 활용 전략
2025년 군무원 봉급표는 저연차 급여 개선과 성과 중심 체계로의 교두보라는 점에서 의미가 큽니다. 9급·7급 지원자는 초기 실수령액 상승 효과를, 5급 이상 중견자는 직무급제로 전환될 때 직무 전문성·성과 관리에 집중해야 장기적인 보상을 극대화할 수 있습니다. 내년 이후에도 보수규정 개정안이 발표되는 즉시 반영해 경력·재무 계획을 재점검하시길 권합니다.


'경제 직업 직장 세금 부동산' 카테고리의 다른 글
| 교사 군인 경찰 공무원 초과근무수당 규정, 단가 (0) | 2025.07.15 |
|---|---|
| 2026년 공무원 봉급 인상률 협상 (0) | 2025.07.13 |
| 공무원 경조사 휴가일수, 규정 (0) | 2025.07.08 |
| 군인 월급 2025 호봉·수당 (0) | 2025.07.07 |
| 공무원 가족수당 (0) | 2025.06.22 |