경찰 계급체계, 해양경찰 직급체계 계급표
대한민국 경찰공무원은 행정안전부 산하 경찰청 소속으로, 국민의 생명과 재산 보호, 치안 유지, 범죄 예방과 수사, 교통 관리 등의 업무를 수행합니다. 이들은 경찰공무원법 및 공무원 임용령에 따라 엄격한 계급 체계를 따르며, 각 계급은 특정 역할과 책임을 명확히 지니고 있습니다.






이번 글에서는 경찰과 해양경찰 계급체계와 직급표, 그리고 일반직 공무원과의 대응 체계까지 상세하게 정리해 보겠습니다.
경찰 계급체계는 총 몇 단계일까?
경찰의 계급은 총 11단계입니다. 최하위 계급인 ‘순경’부터 시작해, 경찰 조직 전체를 총괄하는 ‘치안총감’까지 이어지는 구조입니다.

- 순경 → 경장 → 경사 → 경위 → 경감 → 경정 → 총경 → 경무관 → 치안감 → 치안정감 → 치안총감
각 계급마다 계급장을 패용하며, 복장에 따라 계급장의 위치와 모양이 달라지기도 합니다.
경찰 계급체계와 일반직 공무원 직급체계 비교
경찰 공무원 계급체계를 일반직 9급~1급 공무원 직급체계와 비교하면 이해하기 쉬운데요, 완전히 일대일 대응되지는 않지만 다음과 같이 대응시킬 수 있습니다:
| 경찰 계급 | 일반직 공무원 대응 | 직무 역할 |
| 순경 | 9급 | 초임 경찰관, 일선 현장업무 |
| 경장 | 8급 | 현장 실무 |
| 경사 | 7급 | 실무경험 보유 |
| 경위 | 6급 을 | 초급 관리자 역할 시작 |
| 경감 | 6급 갑 | 중간 관리자 역할 |
| 경정 | 5급 | 일선 경찰서 과장, 중대장 |
| 총경 | 4급 | 경찰서장, 지방청 과장 |
| 경무관 | 3급 | 지방경찰청 차장, 경찰청 부서장 |
| 치안감 | 2급 | 지방경찰청장 |
| 치안정감 | 1급 | 서울경찰청장, 경찰청 차장 |
| 치안총감 | 차관급 | 경찰청장 1인 |

이 경찰 계급 중 치안총감은 대한민국 전체 경찰조직을 대표하며, 오직 1명만 존재합니다. 이 자리에 임명되는 사람은 곧 경찰청장입니다.
경찰 계급장 모양과 의미
각 계급마다 계급장이 다릅니다. 다음은 대표적인 계급장 도안과 의미를 요약한 것입니다.

- 순경: 무궁화 1개
- 경장: 무궁화 2개
- 경사: 무궁화 3개
- 경위: 무궁화 1개 + 별 1개
- 경감: 무궁화 1개 + 별 2개
- 경정: 무궁화 1개 + 별 3개
- 총경: 무궁화 2개 + 별 3개
- 경무관: 무궁화 3개 + 별 2개
- 치안감: 무궁화 3개 + 별 3개
- 치안정감: 무궁화 4개 + 별 3개
- 치안총감: 무궁화 4개 + 태극 문양
즉, 무궁화와 별의 수로 계급의 위계를 상징합니다.
각 계급의 주요 직무 설명

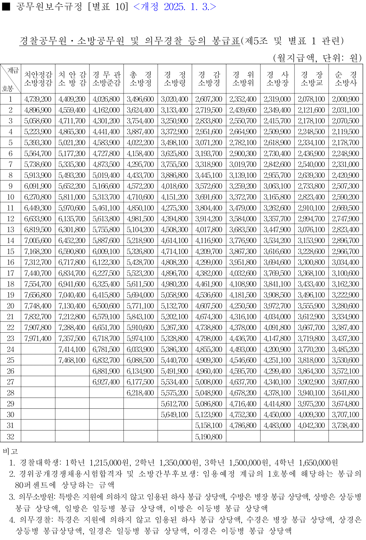
2025.07.19 - [경제 직업 직장 세금 부동산] - 경찰공무원 봉급표 2025 시보 월급



순경~경사: 실무 중심
이들은 주로 파출소·지구대 근무, 교통 단속, 현장 범죄 대응, 기초 수사 보조 등을 맡습니다. 신입 경찰은 대부분 순경부터 시작하며, 일정 근무와 승진 시험을 통해 경장, 경사로 올라가게 됩니다.

경위~경감: 초기 지휘 계층
경위는 경찰서의 팀장급 역할로, 초급 간부에 해당합니다. 경감은 과장급으로 수사과, 형사과 등 실질적 책임자입니다.
경정~총경: 중간 관리자
경정은 중형 규모 경찰서의 과장 혹은 경찰청의 과장급입니다. 총경은 경찰서장이자 정책·운영에 있어 실질적인 중간관리자입니다.
경무관~치안총감: 고위직
경무관부터는 경찰 고위 간부로 분류됩니다. 지방청 차장, 본청 국장, 청장 등이 여기에 해당하며, 치안총감은 대한민국 경찰 조직의 최고 수장입니다.
해양경찰 계급체계는 어떻게 다를까?



해양경찰은 해양수산부 소속이 아닌, 해양경찰청 소속 중앙행정기관으로 경찰과 유사한 계급 구조를 가집니다. 그러나 일부 명칭이 다르며 총 11단계의 계급으로 나뉘어 있습니다.
- 순경 → 경장 → 경사 → 경위 → 경감 → 경정 → 총경 → 경무관 → 치안감 → 치안정감 → 치안총감
이름은 같지만, 계급장 도안이 다릅니다. 해양경찰은 계급장에 닻(닻 모양 앵커)과 무궁화가 조합된 디자인을 사용합니다.
주요 해양경찰 계급별 임무


- 순경~경사: 해상순찰, 해난 구조, 해양오염 감시 등 실무
- 경위~경감: 파출소장, 구조대장, 순찰정장 등
- 경정~총경: 해양경찰서장, 지방청 과장
- 경무관~치안정감: 지방청장, 본청 부서장
- 치안총감: 해양경찰청장
즉, 계급체계는 경찰과 거의 동일하지만 운영 부서가 다르고, 주요 임무가 육상 치안이 아닌 해상 안전·구조·단속이라는 점에서 큰 차이가 있습니다.
경찰 간부 후보생 제도 (간부후보생·경찰대학 등)



경찰은 승진 외에도 간부후보생 제도를 통해 경위로 입직이 가능합니다. 경찰대학 졸업자도 경위부터 시작하며, 빠르게 간부 계급으로 진출할 수 있는 구조입니다.
간부 진출 루트:
- 순경 공채 → 근무 + 시험 → 승진
- 경찰대학(4년제) → 졸업 시 경위
- 간부후보생 → 교육 수료 후 경위 임용
- 학사경찰(전문대학 이상 졸업자 대상) → 일정 교육 후 경위






특이사항: 의경은 계급에 포함되지 않는다
과거 의무경찰(의경)은 병역의 대체 수단으로 일선에 투입된 병역 대상자였습니다. 의경은 군 복무의 일환으로 경찰 업무를 보조했기 때문에, 공무원 계급체계에 포함되지 않습니다.
2023년을 끝으로 의경 제도는 완전 폐지되었습니다. 이제는 모든 경찰이 정규 경찰공무원으로 구성됩니다.
직급과 계급은 어떻게 다를까?
많은 분들이 혼동하는 용어가 바로 직급(직책)과 계급입니다.
- 계급: 법령으로 정해진 서열 체계 (예: 총경, 경감 등)
- 직급/직책: 조직에서 맡고 있는 역할 (예: 서장, 과장, 파출소장 등)
예를 들어, 한 경찰서의 형사과장이 ‘경정’일 수도 있고, 경우에 따라 총경이 해당 직책을 맡을 수도 있습니다.
경찰 계급별 정원 제한과 인사
- 경찰은 계급 정원제를 실시하고 있어, 특정 계급별로 인원을 제한합니다.
- 예를 들어, 총경급 이상의 고위 간부는 정원이 매우 적고, 치안총감은 단 한 명입니다.
- 고위 간부는 주로 대통령, 행안부 장관의 제청 및 임명을 통해 선발됩니다.
결론: 계급은 권한이자 책임
경찰과 해양경찰의 계급체계는 단순한 서열이 아니라, 국민의 생명과 안전을 책임지는 구조입니다. 각 계급에는 명확한 역할과 책임이 있으며, 이를 통해 조직의 효율성과 질서를 유지하고 있습니다.
또한, 계급이 올라갈수록 책임이 커지는 만큼, 승진은 단지 연공서열로만 결정되지 않고 실적, 시험, 경력, 교육 이수 여부 등 다면적인 평가를 통해 이루어집니다.
경찰공무원이라는 길을 걷는 이들이 계급장을 가슴에 다는 순간, 그것은 단지 권위의 상징이 아니라 국민에 대한 봉사와 책임의 상징임을 잊지 않아야 하겠습니다.
'경제 직업 직장 세금 부동산' 카테고리의 다른 글
| 209시간 계산법, 월 근로시간 226시간 소정근로시간이란? (0) | 2025.08.17 |
|---|---|
| 중대재해처벌법 적용대상, 주요내용 (0) | 2025.08.14 |
| 10월 10일 임시공휴일, 지정될까? (0) | 2025.08.12 |
| 형제간 증여세 면제 한도액 기준 (0) | 2025.08.12 |
| 근로소득 세율 (표) 2025년 (0) | 2025.08.07 |