경찰공무원 봉급표 2025 시보 월급 완전 정리
2025년 1월 3일 자로 개정·시행된 「공무원보수규정」별표 10 ‘경찰공무원·소방공무원 및 의무경찰 등의 봉급표’가 발표되었습니다. 이번 개정안은 기본급 평균 3 % 인상과 함께 가족‧육아‧위험 직무 관련 수당 조정이 핵심입니다. 본 포스팅에서는 순경 시보(1호봉)부터 치안정감까지 계급별 호봉액, 지급 가능한 18종 수당의 계산 구조, 그리고 초임 경찰이 실제로 손에 쥐게 되는 실수령액을 단계별로 분석합니다.
2025.07.13 - [경제 직업 직장 세금 부동산] - 2026년 공무원 봉급 인상률 협상
2025년 공무원 보수 개정 핵심 포인트


- 기본급 인상폭: 모든 계급 평균 3 % 내외(순경 1호봉 기준 1,938,000 원 → 2,000,900 원).
- 위험근무수당 상향: 일반 현장 기준 6만 원 → 7만 원, 특별고위험 근무자는 계급·직무별로 월 최대 16만 원까지 차등지급.
- 육아휴직수당 상한 확대: 월 150 만 원 → 최대 250 만 원(1∼3개월), 지급기간 12 → 18개월.
- 민원업무수당 가산금 신설: 민원 최일선 근무자 월 3만 원.
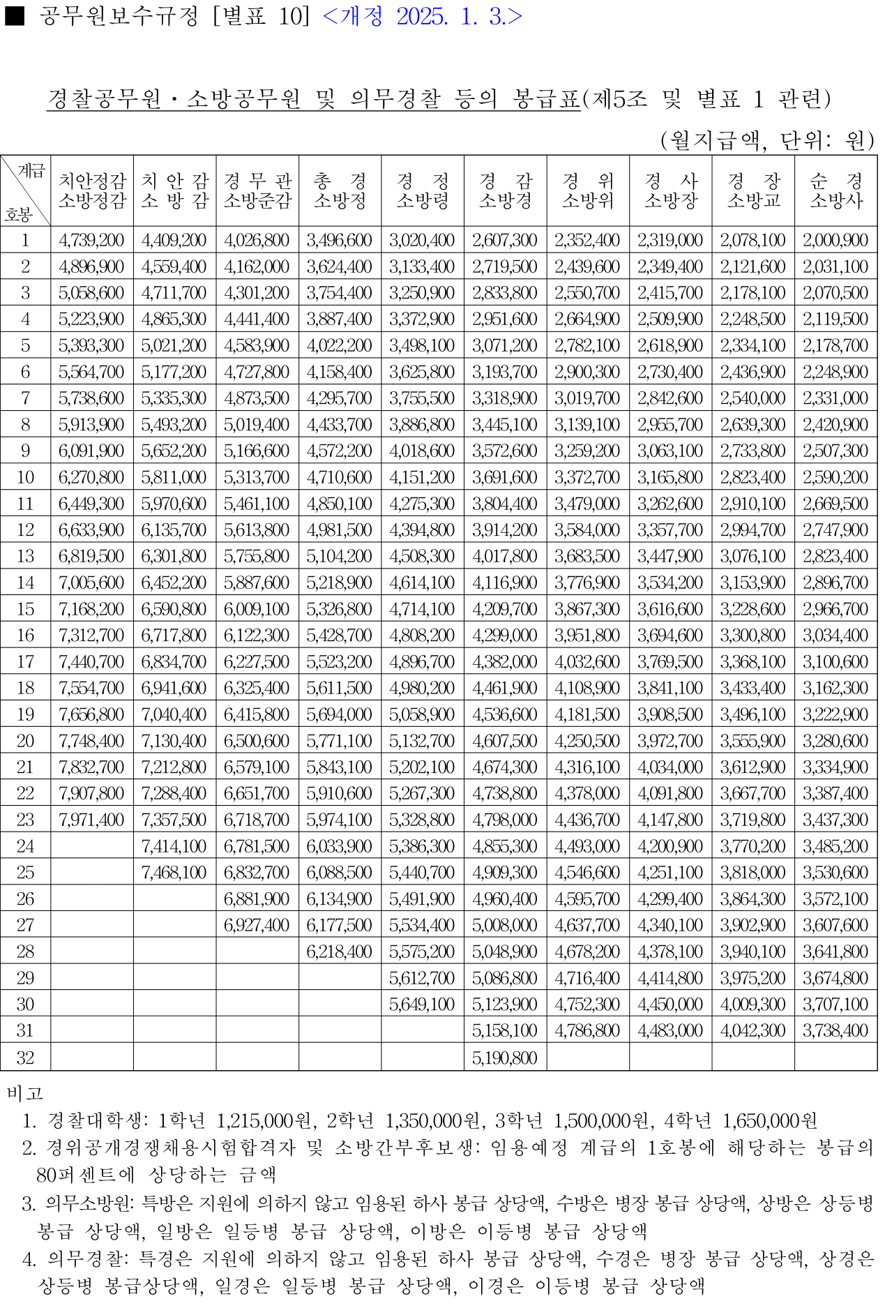
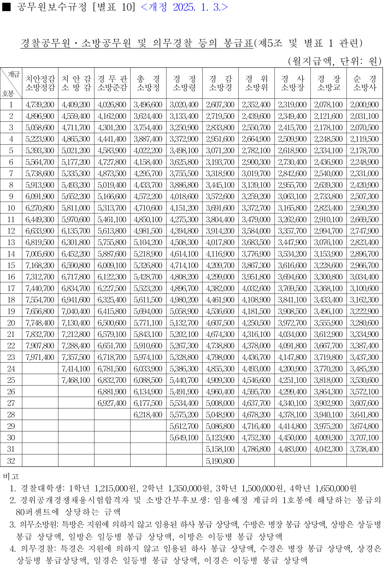
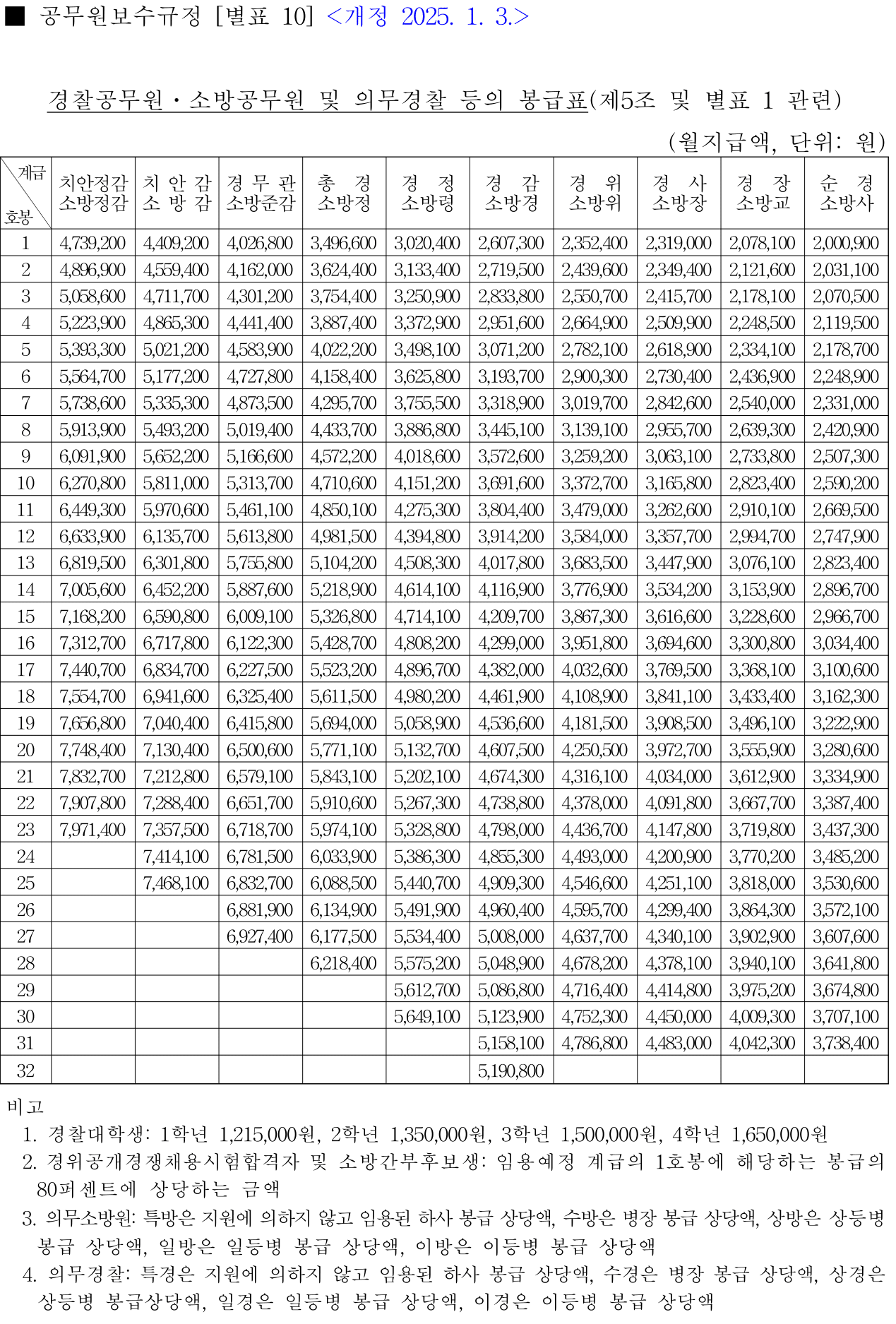
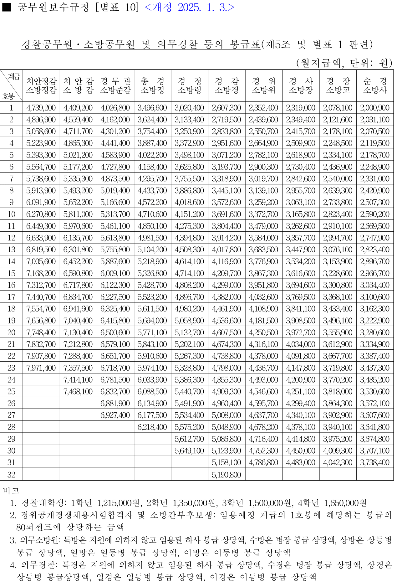
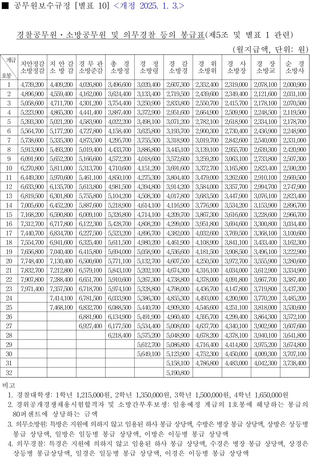
2025년 계급·호봉별 경찰공무원 봉급표
아래 2025 경찰공무원 봉급표는 경찰 전 계급의 ‘1호봉’ 월지급액을 요약한 것입니다. (단위: 원)

전체 1∼32호봉 세부표는 인사혁신처 홈페이지에서 확인 가능하며, 본문 하단에 다운로드 링크를 제공합니다.
| 계급 | 1호봉 | 5호봉 | 10호봉 | 20호봉 |
| 치안정감 | 4,739,200 | 5,393,300 | 6,270,800 | 7,748,400 |
| 치안감 | 4,409,200 | 5,021,200 | 5,811,000 | 7,130,400 |
| 경무관 | 4,026,800 | 4,583,900 | 5,313,700 | 6,500,600 |
| 총경 | 3,496,600 | 4,022,200 | 4,710,600 | 5,771,100 |
| 경정 | 3,020,400 | 3,498,100 | 4,151,200 | 4,910,800 |
| 경감 | 2,607,300 | 3,071,200 | 3,524,100 | 4,231,500 |
| 경위 | 2,352,400 | 2,782,100 | 3,165,800 | 3,834,200 |
| 경사 | 2,319,000 | 2,618,900 | 3,027,300 | 3,450,300 |
| 경장 | 2,078,100 | 2,334,100 | 2,823,400 | 3,146,900 |
| 순경 | 2,000,900 | 2,178,700 | 2,549,400 | 3,089,200 |
자료: 인사혁신처 〈2025년 경찰공무원·소방공무원 봉급표〉
TIP 전 계급 모두 호봉 승급 주기는 1년이며, 勤勞성 및 근속평정이 미흡하면 승급이 6개월 유예될 수 있습니다.
경찰공무원 ‘18종 수당’ 체계 한눈에 보기

첫째, 상여수당(3종)
- 대우공무원수당: 월 봉급액의 4.1 %
- 정근수당: 재직연수 따라 월봉급의 0 %∼50 % (연 2회)
- 성과상여금: 지급기준액의 0 %∼172.5 %(연 1회)
둘째, 가계보전수당(4종)
- 가족수당: 배우자 40,000 원, 자녀 1인 30,000 원(둘째 70,000 원, 셋째↑ 110,000 원, 4인 한도)
- 재외근무·해외파견보조수당
- 주택수당 (전·월세 거주자)
- 육아휴직수당: 월급의 80 %(상한 150 → 최대 250 만 원)
셋째, 특수지근무수당
- 도서‧벽지 근무 시 30,000 ∼ 60,000 원


넷째, 특수근무수당(4종)
| 항목 | 기준 금액 | 비고 |
| 위험근무수당 | 70,000 원(기본) / 160,000 원(최고) | 대테러, 집회진압, 특공대 등 |
| 치안활동비 | 170,000 원 | 경정 이하, 지자체 배치 인원 |
| 대민활동비 | 200,000 원 | 지구대·파출소 순찰요원 |
| 업무대행수당 | 20,000 원 | 육아휴직자 업무대행 |
다섯째, 실비변상 등(4종)
- 정액급식비 140,000 원
- 직급보조비: 8 · 9급 175,000 원, 1급 750,000 원
- 명절휴가비: 월 봉급 × 60 %(설·추석 두 차례)
- 연가보상비: 1급 이하, 미사용 연가일수 × 일할단가(20일 한도)
여섯째, 초과근무수당(2종)
- 시간외근무·야간근무·휴일근무에 대한 가산 지급
- 관리업무수당: 4급 이상, 월 봉급의 9 %
실제 적용은 예산 한도·근무 형태·근무지 여건에 따라 달라지므로, 모든 수당이 동시에 최대치로 지급되지는 않습니다.


경찰 전용 ‘특수·항공·함정’ 수당 세부내역
| 수당명 | 계급 / 월액(원) |
| 출장업무수당 | 사건 1건 처리당 3,000 (일 30,000 한도) |
| 기술정보보수당 | 경정↑ 50,000 / 경감·경위 30,000 / 경사↓ 20,000 |
| 연구업무수당 | 경정↑ 60,000 / 경감↓ 40,000 |
| 선박·함정근무수당 | 경간 32,000 / 경위 25,000 / 경사↓ 20,000 |
| 항공 특수수당(조종) | 경정↑ 631,700 → 순경 205,900 |
| 항공 특수수당(정비) | 경정↑ 313,400 → 순경 174,200 |
출처: 경찰청 내부지침(2025.1).


순경 1호봉 ‘시보’ 월급 실수령액 시뮬레이션
| 구분 | 지급액(원) | 비고 |
| 기본봉급 | 2,000,900 | 순경 1호봉 |
| 정액급식비 | 140,000 | 전원 지급 |
| 직급보조비 | 175,000 | 8·9급 해당 |
| 위험근무수당 | 70,000 | 일반 현장근무 기준 |
| 치안활동비 | 170,000 | 지구대 근무 시 |
| 대민활동비 | 200,000 | 파출소 근무 시 |
| 총지급액(과세전) | 2,755,900 | |
| 공제 4대 보험 | 약 –180,000 | 국민연금, 건강·장기요양, 고용 |
| 소득세·지방소득세 | 약 –30,000 | 기준공제 적용 |
| 실수령액 | ≈ 2,545,000 | 월 기준 |
야간·휴일근무(월 20시간)와 시간외근무수당(월 15시간)을 합산할 경우 3,000,000 원 내외까지도 가능하나, 근무 형태와 예산 상황에 크게 좌우됩니다.
경찰대학생·간부후보생 보수



- 경찰대학생: 1학년 1,215,000 원 → 4학년 1,650,000 원
- 경찰간부후보생: 임용예정 계급(경위) 1호봉의 80 % = 1,881,920 원
- 의무경찰(일반): 일경 기준 1,014,100 원(병영급식 제공·수당 별도)
연간 총보수(1호봉 기준 순경 연봉)
| 항목 | 금액(원) |
| 기본봉급 합계 | 24,010,800 |
| 상여수당(정근·성과·명절) | 약 6,000,000 |
| 각종 가산·특수수당 | 평균 6,500,000 |
| 총 연보수(세전) | ≈ 36,500,000 |
| 연금·세금 공제 | –3,800,000 |
| 실제 체감 연봉 | 약 32,700,000 |
※ 위 계산은 가족수당·시간외근무·성과등급 ‘중’ 기준 보수 중위값 시뮬레이션 결과입니다.


FAQ
- 시보 기간에도 정근수당을 받을 수 있나요?
- 시보(수습) 기간 3개월은 정근수당 근무연수에 산입 되지 않습니다. 6개월 이상 근속 후 처음 지급됩니다.
- 위험근무수당 16만 원은 어떻게 받을 수 있나요?
- 경찰특공대·기동대 폭발물처리(EOD) 등 「위험근무수당 지급대상고시」 상 ‘특별고위험 직무’ 편성 인원에게만 적용됩니다.
- 의경 복무 중 경찰시험 합격 시 호봉은 어떻게 인정되나요?
- 의무경찰 복무기간은 경력환산 100 % 인정, 최대 2호봉까지 가산 가능합니다.
결론


2025년 개정안은 초임 순경 실수령액 250만 원대, 중간 계급(경위 10호봉) 400만 원대, 경무관급 600 만 원대를 형성하며, 물가상승률과 최저임금 추이를 반영한 현실적 인상폭을 보였습니다. 여기에 위험·치안·항공·함정 등 특수수당까지 더해지면 실제 체감 소득은 급여표 이상의 가치를 띱니다. 올해 경찰 공무원 시험을 준비하는 수험생, 혹은 전·입직을 고려하는 현직자라면 ‘기본봉급 + 직무별 수당 구조’를 정확히 이해하고, 커리어 설계와 재무계획에 반영하시기 바랍니다.
'경제 직업 직장 세금 부동산' 카테고리의 다른 글
| 교사 봉급표 2025 (0) | 2025.07.21 |
|---|---|
| 국가 서열순위 - 우리나라 의전서열·권력서열 총정리 (0) | 2025.07.21 |
| 209시간 계산법 vs 226시간 (0) | 2025.07.18 |
| 증여세 면제 한도액 : 조카·자녀 (0) | 2025.07.16 |
| 교사 군인 경찰 공무원 초과근무수당 규정, 단가 (0) | 2025.07.15 |